GiNaC

This is a tutorial that documents GiNaC 1.8.10, an open framework for symbolic computation within the C++ programming language.

Table of Contents


1 Introduction

The motivation behind GiNaC derives from the observation that most present day computer algebra systems (CAS) are linguistically and semantically impoverished. Although they are quite powerful tools for learning math and solving particular problems they lack modern linguistic structures that allow for the creation of large-scale projects. GiNaC is an attempt to overcome this situation by extending a well established and standardized computer language (C++) by some fundamental symbolic capabilities, thus allowing for integrated systems that embed symbolic manipulations together with more established areas of computer science (like computation-intense numeric applications, graphical interfaces, etc.) under one roof.

The particular problem that led to the writing of the GiNaC framework is still a very active field of research, namely the calculation of higher order corrections to elementary particle interactions. There, theoretical physicists are interested in matching present day theories against experiments taking place at particle accelerators. The computations involved are so complex they call for a combined symbolical and numerical approach. This turned out to be quite difficult to accomplish with the present day CAS we have worked with so far and so we tried to fill the gap by writing GiNaC. But of course its applications are in no way restricted to theoretical physics.

This tutorial is intended for the novice user who is new to GiNaC but already has some background in C++ programming. However, since a hand-made documentation like this one is difficult to keep in sync with the development, the actual documentation is inside the sources in the form of comments. That documentation may be parsed by one of the many Javadoc-like documentation systems. If you fail at generating it you may access it from the GiNaC home page. It is an invaluable resource not only for the advanced user who wishes to extend the system (or chase bugs) but for everybody who wants to comprehend the inner workings of GiNaC. This little tutorial on the other hand only covers the basic things that are unlikely to change in the near future.

1.1 License

The GiNaC framework for symbolic computation within the C++ programming language is Copyright © 1999-2026 Johannes Gutenberg University Mainz, Germany.

This program is free software; you can redistribute it and/or modify it under the terms of the GNU General Public License as published by the Free Software Foundation; either version 2 of the License, or (at your option) any later version.

This program is distributed in the hope that it will be useful, but WITHOUT ANY WARRANTY; without even the implied warranty of MERCHANTABILITY or FITNESS FOR A PARTICULAR PURPOSE. See the GNU General Public License for more details.

You should have received a copy of the GNU General Public License along with this program; see the file COPYING. If not, see https://www.gnu.org/licenses/.


2 A Tour of GiNaC

This quick tour of GiNaC wants to arise your interest in the subsequent chapters by showing off a bit. Please excuse us if it leaves many open questions.


2.1 How to use it from within C++

The GiNaC open framework for symbolic computation within the C++ programming language does not try to define a language of its own as conventional CAS do. Instead, it extends the capabilities of C++ by symbolic manipulations. Here is how to generate and print a simple (and rather pointless) bivariate polynomial with some large coefficients:

#include <iostream>
#include <ginac/ginac.h>
using namespace std;
using namespace GiNaC;

int main()
{
    symbol x("x"), y("y");
    ex poly;

    for (int i=0; i<3; ++i)
        poly += factorial(i+16)*pow(x,i)*pow(y,2-i);

    cout << poly << endl;
    return 0;
}

Assuming the file is called hello.cc, on our system we can compile and run it like this:

$ c++ hello.cc -o hello -lginac -lcln
$ ./hello
355687428096000*x*y+20922789888000*y^2+6402373705728000*x^2

(See Package tools, for tools that help you when creating a software package that uses GiNaC.)

Next, there is a more meaningful C++ program that calls a function which generates Hermite polynomials in a specified free variable.

#include <iostream>
#include <ginac/ginac.h>
using namespace std;
using namespace GiNaC;

ex HermitePoly(const symbol & x, int n)
{
    ex HKer=exp(-pow(x, 2));
    // uses the identity H_n(x) == (-1)^n exp(x^2) (d/dx)^n exp(-x^2)
    return normal(pow(-1, n) * diff(HKer, x, n) / HKer);
}

int main()
{
    symbol z("z");

    for (int i=0; i<6; ++i)
        cout << "H_" << i << "(z) == " << HermitePoly(z,i) << endl;

    return 0;
}

When run, this will type out

H_0(z) == 1
H_1(z) == 2*z
H_2(z) == 4*z^2-2
H_3(z) == -12*z+8*z^3
H_4(z) == -48*z^2+16*z^4+12
H_5(z) == 120*z-160*z^3+32*z^5

This method of generating the coefficients is of course far from optimal for production purposes.

In order to show some more examples of what GiNaC can do we will now use the ginsh, a simple GiNaC interactive shell that provides a convenient window into GiNaC’s capabilities.


2.2 What it can do for you

After invoking ginsh one can test and experiment with GiNaC’s features much like in other Computer Algebra Systems except that it does not provide programming constructs like loops or conditionals. For a concise description of the ginsh syntax we refer to its accompanied man page. Suffice to say that assignments and comparisons in ginsh are written as they are in C, i.e. = assigns and == compares.

It can manipulate arbitrary precision integers in a very fast way. Rational numbers are automatically converted to fractions of coprime integers:

> x=3^150;
369988485035126972924700782451696644186473100389722973815184405301748249
> y=3^149;
123329495011708990974900260817232214728824366796574324605061468433916083
> x/y;
3
> y/x;
1/3

Exact numbers are always retained as exact numbers and only evaluated as floating point numbers if requested. For instance, with numeric radicals is dealt pretty much as with symbols. Products of sums of them can be expanded:

> expand((1+a^(1/5)-a^(2/5))^3);
1+3*a+3*a^(1/5)-5*a^(3/5)-a^(6/5)
> expand((1+3^(1/5)-3^(2/5))^3);
10-5*3^(3/5)
> evalf((1+3^(1/5)-3^(2/5))^3);
0.33408977534118624228

The function evalf that was used above converts any number in GiNaC’s expressions into floating point numbers. This can be done to arbitrary predefined accuracy:

> evalf(1/7);
0.14285714285714285714
> Digits=150;
150
> evalf(1/7);
0.1428571428571428571428571428571428571428571428571428571428571428571428
5714285714285714285714285714285714285

Exact numbers other than rationals that can be manipulated in GiNaC include predefined constants like Archimedes’ Pi. They can both be used in symbolic manipulations (as an exact number) as well as in numeric expressions (as an inexact number):

> a=Pi^2+x;
x+Pi^2
> evalf(a);
9.869604401089358619+x
> x=2;
2
> evalf(a);
11.869604401089358619

Built-in functions evaluate immediately to exact numbers if this is possible. Conversions that can be safely performed are done immediately; conversions that are not generally valid are not done:

> cos(42*Pi);
1
> cos(acos(x));
x
> acos(cos(x));
acos(cos(x))

(Note that converting the last input to x would allow one to conclude that 42*Pi is equal to 0.)

Linear equation systems can be solved along with basic linear algebra manipulations over symbolic expressions. In C++ GiNaC offers a matrix class for this purpose but we can see what it can do using ginsh’s bracket notation to type them in:

> lsolve(a+x*y==z,x);
y^(-1)*(z-a);
> lsolve({3*x+5*y == 7, -2*x+10*y == -5}, {x, y});
{x==19/8,y==-1/40}
> M = [ [1, 3], [-3, 2] ];
[[1,3],[-3,2]]
> determinant(M);
11
> charpoly(M,lambda);
lambda^2-3*lambda+11
> A = [ [1, 1], [2, -1] ];
[[1,1],[2,-1]]
> A+2*M;
[[1,1],[2,-1]]+2*[[1,3],[-3,2]]
> evalm(%);
[[3,7],[-4,3]]
> B = [ [0, 0, a], [b, 1, -b], [-1/a, 0, 0] ];
> evalm(B^(2^12345));
[[1,0,0],[0,1,0],[0,0,1]]

Multivariate polynomials and rational functions may be expanded, collected, factorized, and normalized (i.e. converted to a ratio of two coprime polynomials):

> a = x^4 + 2*x^2*y^2 + 4*x^3*y + 12*x*y^3 - 3*y^4;
12*x*y^3+2*x^2*y^2+4*x^3*y-3*y^4+x^4
> b = x^2 + 4*x*y - y^2;
4*x*y-y^2+x^2
> expand(a*b);
8*x^5*y+17*x^4*y^2+43*x^2*y^4-24*x*y^5+16*x^3*y^3+3*y^6+x^6
> factor(%);
(4*x*y+x^2-y^2)^2*(x^2+3*y^2)
> collect(a+b,x);
4*x^3*y-y^2-3*y^4+(12*y^3+4*y)*x+x^4+x^2*(1+2*y^2)
> collect(a+b,y);
12*x*y^3-3*y^4+(-1+2*x^2)*y^2+(4*x+4*x^3)*y+x^2+x^4
> normal(a/b);
3*y^2+x^2

Here we have made use of the ginsh-command % to pop the previously evaluated element from ginsh’s internal stack.

You can differentiate functions and expand them as Taylor or Laurent series in a very natural syntax (the second argument of series is a relation defining the evaluation point, the third specifies the order):

> diff(tan(x),x);
tan(x)^2+1
> series(sin(x),x==0,4);
x-1/6*x^3+Order(x^4)
> series(1/tan(x),x==0,4);
x^(-1)-1/3*x-1/45*x^3+Order(x^4)
> series(tgamma(x),x==0,3);
x^(-1)-Euler+(1/12*Pi^2+1/2*Euler^2)*x+
(-1/3*zeta(3)-1/12*Pi^2*Euler-1/6*Euler^3)*x^2+Order(x^3)
> evalf(%);
x^(-1)-0.5772156649015328606+(0.9890559953279725555)*x
-(0.90747907608088628905)*x^2+Order(x^3)
> series(tgamma(2*sin(x)-2),x==Pi/2,6);
-(x-1/2*Pi)^(-2)+(-1/12*Pi^2-1/2*Euler^2-1/240)*(x-1/2*Pi)^2
-Euler-1/12+Order((x-1/2*Pi)^3)

Often, functions don’t have roots in closed form. Nevertheless, it’s quite easy to compute a solution numerically, to arbitrary precision:

> Digits=50:
> fsolve(cos(x)==x,x,0,2);
0.7390851332151606416553120876738734040134117589007574649658
> f=exp(sin(x))-x:
> X=fsolve(f,x,-10,10);
2.2191071489137460325957851882042901681753665565320678854155
> subs(f,x==X);
-6.372367644529809108115521591070847222364418220770475144296E-58

Notice how the final result above differs slightly from zero by about 6*10^(-58). This is because with 50 decimal digits precision the root cannot be represented more accurately than X. Such inaccuracies are to be expected when computing with finite floating point values.

If you ever wanted to convert units in C or C++ and found this is cumbersome, here is the solution. Symbolic types can always be used as tags for different types of objects. Converting from wrong units to the metric system is now easy:

> in=.0254*m;
0.0254*m
> lb=.45359237*kg;
0.45359237*kg
> 200*lb/in^2;
140613.91592783185568*kg*m^(-2)

3 Installation

GiNaC’s installation follows the spirit of most GNU software. It is easily installed on your system by three steps: configuration, build, installation.


3.1 Prerequisites

In order to install GiNaC on your system, some prerequisites need to be met. First of all, you need to have a C++-compiler adhering to the ISO standard ISO/IEC 14882:2014(E). We used GCC for development so if you have a different compiler you are on your own. For the configuration to succeed you need a Posix compliant shell installed in /bin/sh, GNU bash is fine. The pkgconf utility is required for the configuration, it can be downloaded from http://pkgconf.org/. Last but not least, the CLN library is used extensively and needs to be installed on your system. Please get it from https://www.ginac.de/CLN/ (it is licensed under the GPL) and install it prior to trying to install GiNaC. The configure script checks if it can find it and if it cannot, it will refuse to continue.


3.2 Configuration

To configure GiNaC means to prepare the source distribution for building. It is done via a shell script called configure that is shipped with the sources and was originally generated by GNU Autoconf. Since a configure script generated by GNU Autoconf never prompts, all customization must be done either via command line parameters or environment variables. It accepts a list of parameters, the complete set of which can be listed by calling it with the --help option. The most important ones will be shortly described in what follows:

  • --disable-shared: When given, this option switches off the build of a shared library, i.e. a .so file. This may be convenient when developing because it considerably speeds up compilation.
  • --prefix=PREFIX: The directory where the compiled library and headers are installed. It defaults to /usr/local which means that the library is installed in the directory /usr/local/lib, the header files in /usr/local/include/ginac and the documentation (like this one) into /usr/local/share/doc/GiNaC.
  • --libdir=LIBDIR: Use this option in case you want to have the library installed in some other directory than PREFIX/lib/.
  • --includedir=INCLUDEDIR: Use this option in case you want to have the header files installed in some other directory than PREFIX/include/ginac/. For instance, if you specify --includedir=/usr/include you will end up with the header files sitting in the directory /usr/include/ginac/. Note that the subdirectory ginac is enforced by this process in order to keep the header files separated from others. This avoids some clashes and allows for an easier deinstallation of GiNaC. This ought to be considered A Good Thing (tm).
  • --datadir=DATADIR: This option may be given in case you want to have the documentation installed in some other directory than PREFIX/share/doc/GiNaC/.

In addition, you may specify some environment variables. CXX holds the path and the name of the C++ compiler in case you want to override the default in your path. (The configure script searches your path for g++, c++, aCC, cxx, cc++, clang++, in that order.) It may be very useful to define some compiler flags with the CXXFLAGS environment variable, like optimization, debugging information and warning levels. If omitted, it defaults to -g -O2.1

The whole process is illustrated in the following two examples. (Substitute setenv VARIABLE value for export VARIABLE=value if the Berkeley C shell is your login shell.)

Here is a simple configuration for a site-wide GiNaC library assuming everything is in default paths:

$ export CXXFLAGS="-Wall -O2"
$ ./configure

And here is a configuration for a private static GiNaC library with several components sitting in custom places (site-wide GCC and private CLN). The compiler is persuaded to be picky and full assertions and debugging information are switched on:

$ export CXX=/usr/local/gnu/bin/c++
$ export CPPFLAGS="$(CPPFLAGS) -I$(HOME)/include"
$ export CXXFLAGS="$(CXXFLAGS) -DDO_GINAC_ASSERT -ggdb -Wall -pedantic"
$ export LDFLAGS="$(LDFLAGS) -L$(HOME)/lib"
$ ./configure --disable-shared --prefix=$(HOME)

3.3 Building GiNaC

After proper configuration you should just build the whole library by typing

$ make

at the command prompt and go for a cup of coffee. The exact time it takes to compile GiNaC depends not only on the speed of your machines but also on other parameters, for instance what value for CXXFLAGS you entered. Optimization may be very time-consuming.

Just to make sure GiNaC works properly you may run a collection of regression tests by typing

$ make check

This will compile some sample programs, run them and check the output for correctness. The regression tests fall in three categories. First, the so called exams are performed, simple tests where some predefined input is evaluated (like a pupils’ exam). Second, the checks test the coherence of results among each other with possible random input. Third, some timings are performed, which benchmark some predefined problems with different sizes and display the CPU time used in seconds. Each individual test should return a message ‘passed’. This is mostly intended to be a QA-check if something was broken during development, not a sanity check of your system. Some of the tests in sections checks and timings may require insane amounts of memory and CPU time. Feel free to kill them if your machine catches fire. Another quite important intent is to allow people to fiddle around with optimization.

By default, the only documentation that will be built is this tutorial in .info format. To build the GiNaC tutorial and reference manual in HTML, DVI, PostScript, or PDF formats, use one of

$ make html
$ make dvi
$ make ps
$ make pdf

Generally, the top-level Makefile runs recursively to the subdirectories. It is therefore safe to go into any subdirectory (doc/, ginsh/, …) and simply type make target there in case something went wrong.


3.4 Installing GiNaC

To install GiNaC on your system, simply type

$ make install

As described in the section about configuration the files will be installed in the following directories (the directories will be created if they don’t already exist):

  • libginac.a will go into PREFIX/lib/ (or LIBDIR if specified) which defaults to /usr/local/lib/. So will libginac.so unless the configure script was given the option --disable-shared. The proper symlinks will be established as well.
  • All the header files will be installed into PREFIX/include/ginac/ (or INCLUDEDIR/ginac/, if specified).
  • All documentation (info) will be stuffed into PREFIX/share/doc/GiNaC/ (or DATADIR/doc/GiNaC/, if DATADIR was specified).

For the sake of completeness we will list some other useful make targets: make clean deletes all files generated by make, i.e. all the object files. In addition make distclean removes all files generated by the configuration and make maintainer-clean goes one step further and deletes files that may require special tools to rebuild (like the libtool for instance). Finally make uninstall removes the installed library, header files and documentation2.


4 Basic concepts

This chapter will describe the different fundamental objects that can be handled by GiNaC. But before doing so, it is worthwhile introducing you to the more commonly used class of expressions, representing a flexible meta-class for storing all mathematical objects.


4.1 Expressions

The most common class of objects a user deals with is the expression ex, representing a mathematical object like a variable, number, function, sum, product, etc… Expressions may be put together to form new expressions, passed as arguments to functions, and so on. Here is a little collection of valid expressions:

ex MyEx1 = 5;                       // simple number
ex MyEx2 = x + 2*y;                 // polynomial in x and y
ex MyEx3 = (x + 1)/(x - 1);         // rational expression
ex MyEx4 = sin(x + 2*y) + 3*z + 41; // containing a function
ex MyEx5 = MyEx4 + 1;               // similar to above

Expressions are handles to other more fundamental objects, that often contain other expressions thus creating a tree of expressions (See Internal structures, for particular examples). Most methods on ex therefore run top-down through such an expression tree. For example, the method has() scans recursively for occurrences of something inside an expression. Thus, if you have declared MyEx4 as in the example above MyEx4.has(y) will find y inside the argument of sin and hence return true.

The next sections will outline the general picture of GiNaC’s class hierarchy and describe the classes of objects that are handled by ex.

4.1.1 Note: Expressions and STL containers

GiNaC expressions (ex objects) have value semantics (they can be assigned, reassigned and copied like integral types) but the operator < doesn’t provide a well-defined ordering on them. In STL-speak, expressions are ‘Assignable’ but not ‘LessThanComparable’.

This implies that in order to use expressions in sorted containers such as std::map<> and std::set<> you have to supply a suitable comparison predicate. GiNaC provides such a predicate, called ex_is_less. For example, a set of expressions should be defined as std::set<ex, ex_is_less>.

Unsorted containers such as std::vector<> and std::list<> don’t pose a problem. A std::vector<ex> works as expected.

See Getting information about expressions, for more about comparing and ordering expressions.


4.2 Automatic evaluation and canonicalization of expressions

GiNaC performs some automatic transformations on expressions, to simplify them and put them into a canonical form. Some examples:

ex MyEx1 = 2*x - 1 + x;  // 3*x-1
ex MyEx2 = x - x;        // 0
ex MyEx3 = cos(2*Pi);    // 1
ex MyEx4 = x*y/x;        // y

This behavior is usually referred to as automatic or anonymous evaluation. GiNaC only performs transformations that are

  • at most of complexity O(n log n)
  • algebraically correct, possibly except for a set of measure zero (e.g. x/x is transformed to 1 although this is incorrect for x=0)

There are two types of automatic transformations in GiNaC that may not behave in an entirely obvious way at first glance:

  • The terms of sums and products (and some other things like the arguments of symmetric functions, the indices of symmetric tensors etc.) are re-ordered into a canonical form that is deterministic, but not lexicographical or in any other way easy to guess (it almost always depends on the number and order of the symbols you define). However, constructing the same expression twice, either implicitly or explicitly, will always result in the same canonical form.
  • Expressions of the form ’number times sum’ are automatically expanded (this has to do with GiNaC’s internal representation of sums and products). For example
    ex MyEx5 = 2*(x + y);   // 2*x+2*y
    ex MyEx6 = z*(x + y);   // z*(x+y)
    

The general rule is that when you construct expressions, GiNaC automatically creates them in canonical form, which might differ from the form you typed in your program. This may create some awkward looking output (‘-y+x’ instead of ‘x-y’) but allows for more efficient operation and usually yields some immediate simplifications.

Internally, the anonymous evaluator in GiNaC is implemented by the methods

ex ex::eval() const;
ex basic::eval() const;

but unless you are extending GiNaC with your own classes or functions, there should never be any reason to call them explicitly. All GiNaC methods that transform expressions, like subs() or normal(), automatically re-evaluate their results.


4.3 Error handling

GiNaC reports run-time errors by throwing C++ exceptions. All exceptions generated by GiNaC are subclassed from the standard exception class defined in the <stdexcept> header. In addition to the predefined logic_error, domain_error, out_of_range, invalid_argument, runtime_error, range_error and overflow_error types, GiNaC also defines a pole_error exception that gets thrown when trying to evaluate a mathematical function at a singularity.

The pole_error class has a member function

int pole_error::degree() const;

that returns the order of the singularity (or 0 when the pole is logarithmic or the order is undefined).

When using GiNaC it is useful to arrange for exceptions to be caught in the main program even if you don’t want to do any special error handling. Otherwise whenever an error occurs in GiNaC, it will be delegated to the default exception handler of your C++ compiler’s run-time system which usually only aborts the program without giving any information what went wrong.

Here is an example for a main() function that catches and prints exceptions generated by GiNaC:

#include <iostream>
#include <stdexcept>
#include <ginac/ginac.h>
using namespace std;
using namespace GiNaC;

int main()
{
    try {
        ...
        // code using GiNaC
        ...
    } catch (exception &p) {
        cerr << p.what() << endl;
        return 1;
    }
    return 0;
}

4.4 The class hierarchy

GiNaC’s class hierarchy consists of several classes representing mathematical objects, all of which (except for ex and some helpers) are internally derived from one abstract base class called basic. You do not have to deal with objects of class basic, instead you’ll be dealing with symbols, numbers, containers of expressions and so on.

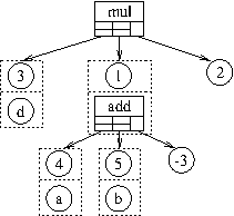
To get an idea about what kinds of symbolic composites may be built we have a look at the most important classes in the class hierarchy and some of the relations among the classes:

classhierarchy

The abstract classes shown here (the ones without drop-shadow) are of no interest for the user. They are used internally in order to avoid code duplication if two or more classes derived from them share certain features. An example is expairseq, a container for a sequence of pairs each consisting of one expression and a number (numeric). What is visible to the user are the derived classes add and mul, representing sums and products. See Internal structures, where these two classes are described in more detail. The following table shortly summarizes what kinds of mathematical objects are stored in the different classes:

symbolAlgebraic symbols a, x, y
constantConstants like Pi
numericAll kinds of numbers, 42, 7/3*I, 3.14159
addSums like x+y or a-(2*b)+3
mulProducts like x*y or 2*a^2*(x+y+z)/b
ncmulProducts of non-commutative objects
powerExponentials such as x^2, a^b, sqrt(2)
pseriesPower Series, e.g. x-1/6*x^3+1/120*x^5+O(x^7)
functionA symbolic function like sin(2*x)
lstLists of expressions {x, 2*y, 3+z}
matrixmxn matrices of expressions
relationalA relation like the identity x==y
indexedIndexed object like A_ij
tensorSpecial tensor like the delta and metric tensors
idxIndex of an indexed object
varidxIndex with variance
spinidxIndex with variance and dot (used in Weyl-van-der-Waerden spinor formalism)
wildcardWildcard for pattern matching
structureTemplate for user-defined classes

4.5 Symbols

Symbolic indeterminates, or symbols for short, are for symbolic manipulation what atoms are for chemistry.

A typical symbol definition looks like this:

symbol x("x");

This definition actually contains three very different things:

  • a C++ variable named x
  • a symbol object stored in this C++ variable; this object represents the symbol in a GiNaC expression
  • the string "x" which is the name of the symbol, used (almost) exclusively for printing expressions holding the symbol

Symbols have an explicit name, supplied as a string during construction, because in C++, variable names can’t be used as values, and the C++ compiler throws them away during compilation.

It is possible to omit the symbol name in the definition:

symbol x;

In this case, GiNaC will assign the symbol an internal, unique name of the form symbolNNN. This won’t affect the usability of the symbol but the output of your calculations will become more readable if you give your symbols sensible names (for intermediate expressions that are only used internally such anonymous symbols can be quite useful, however).

Now, here is one important property of GiNaC that differentiates it from other computer algebra programs you may have used: GiNaC does not use the names of symbols to tell them apart, but a (hidden) serial number that is unique for each newly created symbol object. If you want to use one and the same symbol in different places in your program, you must only create one symbol object and pass that around. If you create another symbol, even if it has the same name, GiNaC will treat it as a different indeterminate.

Observe:

ex f(int n)
{
    symbol x("x");
    return pow(x, n);
}

int main()
{
    symbol x("x");
    ex e = f(6);

    cout << e << endl;
     // prints "x^6" which looks right, but...

    cout << e.degree(x) << endl;
     // ...this doesn't work. The symbol "x" here is different from the one
     // in f() and in the expression returned by f(). Consequently, it
     // prints "0".
}

One possibility to ensure that f() and main() use the same symbol is to pass the symbol as an argument to f():

ex f(int n, const ex & x)
{
    return pow(x, n);
}

int main()
{
    symbol x("x");

    // Now, f() uses the same symbol.
    ex e = f(6, x);

    cout << e.degree(x) << endl;
     // prints "6", as expected
}

Another possibility would be to define a global symbol x that is used by both f() and main(). If you are using global symbols and multiple compilation units you must take special care, however. Suppose that you have a header file globals.h in your program that defines a symbol x("x");. In this case, every unit that includes globals.h would also get its own definition of x (because header files are just inlined into the source code by the C++ preprocessor), and hence you would again end up with multiple equally-named, but different, symbols. Instead, the globals.h header should only contain a declaration like extern symbol x;, with the definition of x moved into a C++ source file such as globals.cpp.

A different approach to ensuring that symbols used in different parts of your program are identical is to create them with a factory function like this one:

const symbol & get_symbol(const string & s)
{
    static map<string, symbol> directory;
    map<string, symbol>::iterator i = directory.find(s);
    if (i != directory.end())
        return i->second;
    else
        return directory.insert(make_pair(s, symbol(s))).first->second;
}

This function returns one newly constructed symbol for each name that is passed in, and it returns the same symbol when called multiple times with the same name. Using this symbol factory, we can rewrite our example like this:

ex f(int n)
{
    return pow(get_symbol("x"), n);
}

int main()
{
    ex e = f(6);

    // Both calls of get_symbol("x") yield the same symbol.
    cout << e.degree(get_symbol("x")) << endl;
     // prints "6"
}

Instead of creating symbols from strings we could also have get_symbol() take, for example, an integer number as its argument. In this case, we would probably want to give the generated symbols names that include this number, which can be accomplished with the help of an ostringstream.

In general, if you’re getting weird results from GiNaC such as an expression ‘x-x’ that is not simplified to zero, you should check your symbol definitions.

As we said, the names of symbols primarily serve for purposes of expression output. But there are actually two instances where GiNaC uses the names for identifying symbols: When constructing an expression from a string, and when recreating an expression from an archive (see Input and output of expressions).

In addition to its name, a symbol may contain a special string that is used in LaTeX output:

symbol x("x", "\\Box");

This creates a symbol that is printed as "x" in normal output, but as "\Box" in LaTeX code (See Input and output of expressions, for more information about the different output formats of expressions in GiNaC). GiNaC automatically creates proper LaTeX code for symbols having names of greek letters (‘alpha’, ‘mu’, etc.). You can retrieve the name and the LaTeX name of a symbol using the respective methods:

symbol::get_name() const;
symbol::get_TeX_name() const;

Symbols in GiNaC can’t be assigned values. If you need to store results of calculations and give them a name, use C++ variables of type ex. If you want to replace a symbol in an expression with something else, you can invoke the expression’s .subs() method (see Substituting expressions).

By default, symbols are expected to stand in for complex values, i.e. they live in the complex domain. As a consequence, operations like complex conjugation, for example (see Complex expressions), do not evaluate if applied to such symbols. Likewise log(exp(x)) does not evaluate to x, because of the unknown imaginary part of x. On the other hand, if you are sure that your symbols will hold only real values, you would like to have such functions evaluated. Therefore GiNaC allows you to specify the domain of the symbol. Instead of symbol x("x"); you can write realsymbol x("x"); to tell GiNaC that x stands in for real values.

Furthermore, it is also possible to declare a symbol as positive. This will, for instance, enable the automatic simplification of abs(x) into x. This is done by declaring the symbol as possymbol x("x");.


4.6 Numbers

For storing numerical things, GiNaC uses Bruno Haible’s library CLN. The classes therein serve as foundation classes for GiNaC. CLN stands for Class Library for Numbers or alternatively for Common Lisp Numbers. In order to find out more about CLN’s internals, the reader is referred to the documentation of that library. See The CLN Manual, for more information. Suffice to say that it is by itself build on top of another library, the GNU Multiple Precision library GMP, which is an extremely fast library for arbitrary long integers and rationals as well as arbitrary precision floating point numbers. It is very commonly used by several popular cryptographic applications. CLN extends GMP by several useful things: First, it introduces the complex number field over either reals (i.e. floating point numbers with arbitrary precision) or rationals. Second, it automatically converts rationals to integers if the denominator is unity and complex numbers to real numbers if the imaginary part vanishes and also correctly treats algebraic functions. Third it provides good implementations of state-of-the-art algorithms for all trigonometric and hyperbolic functions as well as for calculation of some useful constants.

The user can construct an object of class numeric in several ways. The following example shows the four most important constructors. It uses construction from C-integer, construction of fractions from two integers, construction from C-float and construction from a string:

#include <iostream>
#include <ginac/ginac.h>
using namespace GiNaC;

int main()
{
    numeric two = 2;                      // exact integer 2
    numeric r(2,3);                       // exact fraction 2/3
    numeric e(2.71828);                   // floating point number
    numeric p = "3.14159265358979323846"; // constructor from string
    // Trott's constant in scientific notation:
    numeric trott("1.0841015122311136151E-2");
    
    std::cout << two*p << std::endl;  // floating point 6.283...
    ...

The imaginary unit in GiNaC is a predefined numeric object with the name I:

    ...
    numeric z1 = 2-3*I;                    // exact complex number 2-3i
    numeric z2 = 5.9+1.6*I;                // complex floating point number
}

It may be tempting to construct fractions by writing numeric r(3/2). This would, however, call C’s built-in operator / for integers first and result in a numeric holding a plain integer 1. Never use the operator / on integers unless you know exactly what you are doing! Use the constructor from two integers instead, as shown in the example above. Writing numeric(1)/2 may look funny but works also.

We have seen now the distinction between exact numbers and floating point numbers. Clearly, the user should never have to worry about dynamically created exact numbers, since their ‘exactness’ always determines how they ought to be handled, i.e. how ‘long’ they are. The situation is different for floating point numbers. Their accuracy is controlled by one global variable, called Digits. (For those readers who know about Maple: it behaves very much like Maple’s Digits). All objects of class numeric that are constructed from then on will be stored with a precision matching that number of decimal digits:

#include <iostream>
#include <ginac/ginac.h>
using namespace std;
using namespace GiNaC;

void foo()
{
    numeric three(3.0), one(1.0);
    numeric x = one/three;

    cout << "in " << Digits << " digits:" << endl;
    cout << x << endl;
    cout << Pi.evalf() << endl;
}

int main()
{
    foo();
    Digits = 60;
    foo();
    return 0;
}

The above example prints the following output to screen:

in 17 digits:
0.33333333333333333334
3.1415926535897932385
in 60 digits:
0.33333333333333333333333333333333333333333333333333333333333333333334
3.1415926535897932384626433832795028841971693993751058209749445923078

Note that the last number is not necessarily rounded as you would naively expect it to be rounded in the decimal system. But note also, that in both cases you got a couple of extra digits. This is because numbers are internally stored by CLN as chunks of binary digits in order to match your machine’s word size and to not waste precision. Thus, on architectures with different word size, the above output might even differ with regard to actually computed digits.

It should be clear that objects of class numeric should be used for constructing numbers or for doing arithmetic with them. The objects one deals with most of the time are the polymorphic expressions ex.

4.6.1 Tests on numbers

Once you have declared some numbers, assigned them to expressions and done some arithmetic with them it is frequently desired to retrieve some kind of information from them like asking whether that number is integer, rational, real or complex. For those cases GiNaC provides several useful methods. (Internally, they fall back to invocations of certain CLN functions.)

As an example, let’s construct some rational number, multiply it with some multiple of its denominator and test what comes out:

#include <iostream>
#include <ginac/ginac.h>
using namespace std;
using namespace GiNaC;

// some very important constants:
const numeric twentyone(21);
const numeric ten(10);
const numeric five(5);

int main()
{
    numeric answer = twentyone;

    answer /= five;
    cout << answer.is_integer() << endl;  // false, it's 21/5
    answer *= ten;
    cout << answer.is_integer() << endl;  // true, it's 42 now!
}

Note that the variable answer is constructed here as an integer by numeric’s copy constructor, but in an intermediate step it holds a rational number represented as integer numerator and integer denominator. When multiplied by 10, the denominator becomes unity and the result is automatically converted to a pure integer again. Internally, the underlying CLN is responsible for this behavior and we refer the reader to CLN’s documentation. Suffice to say that the same behavior applies to complex numbers as well as return values of certain functions. Complex numbers are automatically converted to real numbers if the imaginary part becomes zero. The full set of tests that can be applied is listed in the following table.

MethodReturns true if the object is…
.is_zero()…equal to zero
.is_positive()…not complex and greater than 0
.is_negative()…not complex and smaller than 0
.is_integer()…a (non-complex) integer
.is_pos_integer()…an integer and greater than 0
.is_nonneg_integer()…an integer and greater equal 0
.is_even()…an even integer
.is_odd()…an odd integer
.is_prime()…a prime integer (probabilistic primality test)
.is_rational()…an exact rational number (integers are rational, too)
.is_real()…a real integer, rational or float (i.e. is not complex)
.is_cinteger()…a (complex) integer (such as 2-3*I)
.is_crational()…an exact (complex) rational number (such as 2/3+7/2*I)

4.6.2 Numeric functions

The following functions can be applied to numeric objects and will be evaluated immediately:

NameFunction
inverse(z)returns 1/z
pow(a, b)exponentiation a^b
abs(z)absolute value
real(z)real part
imag(z)imaginary part
csgn(z)complex sign (returns an int)
step(x)step function (returns an numeric)
numer(z)numerator of rational or complex rational number
denom(z)denominator of rational or complex rational number
sqrt(z)square root
isqrt(n)integer square root
sin(z)sine
cos(z)cosine
tan(z)tangent
asin(z)inverse sine
acos(z)inverse cosine
atan(z)inverse tangent
atan(y, x)inverse tangent with two arguments
sinh(z)hyperbolic sine
cosh(z)hyperbolic cosine
tanh(z)hyperbolic tangent
asinh(z)inverse hyperbolic sine
acosh(z)inverse hyperbolic cosine
atanh(z)inverse hyperbolic tangent
exp(z)exponential function
log(z)natural logarithm
Li2(z)dilogarithm
zeta(z)Riemann’s zeta function
tgamma(z)gamma function
lgamma(z)logarithm of gamma function
psi(z)psi (digamma) function
psi(n, z)derivatives of psi function (polygamma functions)
factorial(n)factorial function n!
doublefactorial(n)double factorial function n!!
binomial(n, k)binomial coefficients
bernoulli(n)Bernoulli numbers
fibonacci(n)Fibonacci numbers
mod(a, b)modulus in positive representation (in the range [0, abs(b)-1] with the sign of b, or zero)
smod(a, b)modulus in symmetric representation (in the range [-iquo(abs(b), 2), iquo(abs(b), 2)])
irem(a, b)integer remainder (has the sign of a, or is zero)
irem(a, b, q)integer remainder and quotient, irem(a, b, q) == a-q*b
iquo(a, b)integer quotient
iquo(a, b, r)integer quotient and remainder, r == a-iquo(a, b)*b
gcd(a, b)greatest common divisor
lcm(a, b)least common multiple

Most of these functions are also available as symbolic functions that can be used in expressions (see Mathematical functions) or, like gcd(), as polynomial algorithms.

4.6.3 Converting numbers

Sometimes it is desirable to convert a numeric object back to a built-in arithmetic type (int, double, etc.). The numeric class provides a couple of methods for this purpose:

int numeric::to_int() const;
long numeric::to_long() const;
double numeric::to_double() const;
cln::cl_N numeric::to_cl_N() const;

to_int() and to_long() only work when the number they are applied on is an exact integer. Otherwise the program will halt with a message like ‘Not a 32-bit integer’. to_double() applied on a rational number will return a floating-point approximation. Both to_int()/to_long() and to_double() discard the imaginary part of complex numbers.

Note the signature of the above methods, you may need to apply a type conversion and call evalf() as shown in the following example:

    ...
    ex e1 = 1, e2 = sin(Pi/5);
    cout << ex_to<numeric>(e1).to_int() << endl
         << ex_to<numeric>(e2.evalf()).to_double() << endl;
    ...

4.7 Constants

Constants behave pretty much like symbols except that they return some specific number when the method .evalf() is called.

The predefined known constants are:

NameCommon NameNumerical Value (to 35 digits)
PiArchimedes’ constant3.14159265358979323846264338327950288
CatalanCatalan’s constant0.91596559417721901505460351493238411
EulerEuler’s (or Euler-Mascheroni) constant0.57721566490153286060651209008240243

4.8 Sums, products and powers

Simple rational expressions are written down in GiNaC pretty much like in other CAS or like expressions involving numerical variables in C. The necessary operators +, -, * and / have been overloaded to achieve this goal. When you run the following code snippet, the constructor for an object of type mul is automatically called to hold the product of a and b and then the constructor for an object of type add is called to hold the sum of that mul object and the number one:

    ...
    symbol a("a"), b("b");
    ex MyTerm = 1+a*b;
    ...

For exponentiation, you have already seen the somewhat clumsy (though C-ish) statement pow(x,2); to represent x squared. This direct construction is necessary since we cannot safely overload the constructor ^ in C++ to construct a power object. If we did, it would have several counterintuitive and undesired effects:

  • Due to C’s operator precedence, 2*x^2 would be parsed as (2*x)^2.
  • Due to the binding of the operator ^, x^a^b would result in (x^a)^b. This would be confusing since most (though not all) other CAS interpret this as x^(a^b).
  • Also, expressions involving integer exponents are very frequently used, which makes it even more dangerous to overload ^ since it is then hard to distinguish between the semantics as exponentiation and the one for exclusive or. (It would be embarrassing to return 1 where one has requested 2^3.)

All effects are contrary to mathematical notation and differ from the way most other CAS handle exponentiation, therefore overloading ^ is ruled out for GiNaC’s C++ part. The situation is different in ginsh, there the exponentiation-^ exists. (Also note that the other frequently used exponentiation operator ** does not exist at all in C++).

To be somewhat more precise, objects of the three classes described here, are all containers for other expressions. An object of class power is best viewed as a container with two slots, one for the basis, one for the exponent. All valid GiNaC expressions can be inserted. However, basic transformations like simplifying pow(pow(x,2),3) to x^6 automatically are only performed when this is mathematically possible. If we replace the outer exponent three in the example by some symbols a, the simplification is not safe and will not be performed, since a might be 1/2 and x negative.

Objects of type add and mul are containers with an arbitrary number of slots for expressions to be inserted. Again, simple and safe simplifications are carried out like transforming 3*x+4-x to 2*x+4.


4.9 Lists of expressions

The GiNaC class lst serves for holding a list of arbitrary expressions. They are not as ubiquitous as in many other computer algebra packages, but are sometimes used to supply a variable number of arguments of the same type to GiNaC methods such as subs() and some matrix constructors, so you should have a basic understanding of them.

Lists can be constructed from an initializer list of expressions:

{
    symbol x("x"), y("y");
    lst l = {x, 2, y, x+y};
    // now, l is a list holding the expressions 'x', '2', 'y', and 'x+y',
    // in that order
    ...

Use the nops() method to determine the size (number of expressions) of a list and the op() method or the [] operator to access individual elements:

    ...
    cout << l.nops() << endl;                // prints '4'
    cout << l.op(2) << " " << l[0] << endl;  // prints 'y x'
    ...

As with the standard list<T> container, accessing random elements of a lst is generally an operation of order O(N). Faster read-only sequential access to the elements of a list is possible with the iterator types provided by the lst class:

typedef ... lst::const_iterator;
typedef ... lst::const_reverse_iterator;
lst::const_iterator lst::begin() const;
lst::const_iterator lst::end() const;
lst::const_reverse_iterator lst::rbegin() const;
lst::const_reverse_iterator lst::rend() const;

For example, to print the elements of a list individually you can use:

    ...
    // O(N)
    for (lst::const_iterator i = l.begin(); i != l.end(); ++i)
        cout << *i << endl;
    ...

which is one order faster than

    ...
    // O(N^2)
    for (size_t i = 0; i < l.nops(); ++i)
        cout << l.op(i) << endl;
    ...

These iterators also allow you to use some of the algorithms provided by the C++ standard library:

    ...
    // print the elements of the list using ranged-based for loop
    for (auto i: l)
        cout << i << endl;

    // sum up the elements of the list (requires #include <numeric>)
    ex sum = std::accumulate(l.begin(), l.end(), ex(0));
    cout << sum << endl;  // prints '2+2*x+2*y'
    ...

lst is one of the few GiNaC classes that allow in-place modifications (the only other one is matrix). You can modify single elements:

    ...
    l[1] = 42;       // l is now {x, 42, y, x+y}
    l.let_op(1) = 7; // l is now {x, 7, y, x+y}
    ...

You can append or prepend an expression to a list with the append() and prepend() methods:

    ...
    l.append(4*x);   // l is now {x, 7, y, x+y, 4*x}
    l.prepend(0);    // l is now {0, x, 7, y, x+y, 4*x}
    ...

You can remove the first or last element of a list with remove_first() and remove_last():

    ...
    l.remove_first();   // l is now {x, 7, y, x+y, 4*x}
    l.remove_last();    // l is now {x, 7, y, x+y}
    ...

You can remove all the elements of a list with remove_all():

    ...
    l.remove_all();     // l is now empty
    ...

You can bring the elements of a list into a canonical order with sort():

    ...
    lst l1 = {x, 2, y, x+y};
    lst l2 = {2, x+y, x, y};
    l1.sort();
    l2.sort();
    // l1 and l2 are now equal
    ...

Finally, you can remove all but the first element of consecutive groups of elements with unique():

    ...
    lst l3 = {x, 2, 2, 2, y, x+y, y+x};
    l3.unique();        // l3 is now {x, 2, y, x+y}
}

4.10 Mathematical functions

There are quite a number of useful functions hard-wired into GiNaC. For instance, all trigonometric and hyperbolic functions are implemented (See Predefined mathematical functions, for a complete list).

These functions (better called pseudofunctions) are all objects of class function. They accept one or more expressions as arguments and return one expression. If the arguments are not numerical, the evaluation of the function may be halted, as it does in the next example, showing how a function returns itself twice and finally an expression that may be really useful:

    ...
    symbol x("x"), y("y");    
    ex foo = x+y/2;
    cout << tgamma(foo) << endl;
     // -> tgamma(x+(1/2)*y)
    ex bar = foo.subs(y==1);
    cout << tgamma(bar) << endl;
     // -> tgamma(x+1/2)
    ex foobar = bar.subs(x==7);
    cout << tgamma(foobar) << endl;
     // -> (135135/128)*Pi^(1/2)
    ...

Besides evaluation most of these functions allow differentiation, series expansion and so on. Read the next chapter in order to learn more about this.

It must be noted that these pseudofunctions are created by inline functions, where the argument list is templated. This means that whenever you call GiNaC::sin(1) it is equivalent to sin(ex(1)) and will therefore not result in a floating point number. Unless of course the function prototype is explicitly overridden – which is the case for arguments of type numeric (not wrapped inside an ex). Hence, in order to obtain a floating point number of class numeric you should call sin(numeric(1)). This is almost the same as calling sin(1).evalf() except that the latter will return a numeric wrapped inside an ex.


4.11 Relations

Sometimes, a relation holding between two expressions must be stored somehow. The class relational is a convenient container for such purposes. A relation is by definition a container for two ex and a relation between them that signals equality, inequality and so on. They are created by simply using the C++ operators ==, !=, <, <=, > and >= between two expressions.

See Mathematical functions, for examples where various applications of the .subs() method show how objects of class relational are used as arguments. There they provide an intuitive syntax for substitutions. They are also used as arguments to the ex::series method, where the left hand side of the relation specifies the variable to expand in and the right hand side the expansion point. They can also be used for creating systems of equations that are to be solved for unknown variables.

But the most common usage of objects of this class is rather inconspicuous in statements of the form if (expand(pow(a+b,2))==a*a+2*a*b+b*b) {...}. Here, an implicit conversion from relational to bool takes place. Note, however, that == here does not perform any simplifications, hence expand() must be called explicitly.

Simplifications of relationals may be more efficient if preceded by a call to

ex relational::canonical() const

which returns an equivalent relation with the zero right-hand side. For example:

possymbol p("p");
relational rel = (p >= (p*p-1)/p);
if (ex_to<relational>(rel.canonical().normal()))
	cout << "correct inequality" << endl;

However, a user shall not expect that any inequality can be fully resolved by GiNaC.


4.12 Integrals

An object of class integral can be used to hold a symbolic integral. If you want to symbolically represent the integral of x*x from 0 to 1, you would write this as

integral(x, 0, 1, x*x)

The first argument is the integration variable. It should be noted that GiNaC is not very good (yet?) at symbolically evaluating integrals. In fact, it can only integrate polynomials. An expression containing integrals can be evaluated symbolically by calling the

.eval_integ()

method on it. Numerical evaluation is available by calling the

.evalf()

method on an expression containing the integral. This will only evaluate integrals into a number if subsing the integration variable by a number in the fourth argument of an integral and then evalfing the result always results in a number. Of course, also the boundaries of the integration domain must evalf into numbers. It should be noted that trying to evalf a function with discontinuities in the integration domain is not recommended. The accuracy of the numeric evaluation of integrals is determined by the static member variable

ex integral::relative_integration_error

of the class integral. The default value of this is 10^-8. The integration works by halving the interval of integration, until numeric stability of the answer indicates that the requested accuracy has been reached. The maximum depth of the halving can be set via the static member variable

int integral::max_integration_level

The default value is 15. If this depth is exceeded, evalf will simply return the integral unevaluated. The function that performs the numerical evaluation, is also available as

ex adaptivesimpson(const ex & x, const ex & a, const ex & b, const ex & f,
                   const ex & error)

This function will throw an exception if the maximum depth is exceeded. The last parameter of the function is optional and defaults to the relative_integration_error. To make sure that we do not do too much work if an expression contains the same integral multiple times, a lookup table is used.

If you know that an expression holds an integral, you can get the integration variable, the left boundary, right boundary and integrand by respectively calling .op(0), .op(1), .op(2), and .op(3). Differentiating integrals with respect to variables works as expected. Note that it makes no sense to differentiate an integral with respect to the integration variable.


4.13 Matrices

A matrix is a two-dimensional array of expressions. The elements of a matrix with m rows and n columns are accessed with two unsigned indices, the first one in the range 0…m-1, the second one in the range 0…n-1.

There are a couple of ways to construct matrices, with or without preset elements. The constructor

matrix::matrix(unsigned r, unsigned c);

creates a matrix with ‘r’ rows and ‘c’ columns with all elements set to zero.

The easiest way to create a matrix is using an initializer list of initializer lists, all of the same size:

{
    matrix m = {{1, -a},
                {a,  1}};
}

You can also specify the elements as a (flat) list with

matrix::matrix(unsigned r, unsigned c, const lst & l);

The function

ex lst_to_matrix(const lst & l);

constructs a matrix from a list of lists, each list representing a matrix row.

There is also a set of functions for creating some special types of matrices:

ex diag_matrix(const lst & l);
ex diag_matrix(initializer_list<ex> l);
ex unit_matrix(unsigned x);
ex unit_matrix(unsigned r, unsigned c);
ex symbolic_matrix(unsigned r, unsigned c, const string & base_name);
ex symbolic_matrix(unsigned r, unsigned c, const string & base_name,
                   const string & tex_base_name);

diag_matrix() constructs a square diagonal matrix given the diagonal elements. unit_matrix() creates an ‘x’ by ‘x’ (or ‘r’ by ‘c’) unit matrix. And finally, symbolic_matrix constructs a matrix filled with newly generated symbols made of the specified base name and the position of each element in the matrix.

Matrices often arise by omitting elements of another matrix. For instance, the submatrix S of a matrix M takes a rectangular block from M. The reduced matrix R is defined by removing one row and one column from a matrix M. (The determinant of a reduced matrix is called a Minor of M and can be used for computing the inverse using Cramer’s rule.)

ex sub_matrix(const matrix&m, unsigned r, unsigned nr, unsigned c, unsigned nc);
ex reduced_matrix(const matrix& m, unsigned r, unsigned c);

The function sub_matrix() takes a row offset r and a column offset c and takes a block of nr rows and nc columns. The function reduced_matrix() has two integer arguments that specify which row and column to remove:

{
    matrix m = {{11, 12, 13},
                {21, 22, 23},
                {31, 32, 33}};
    cout << reduced_matrix(m, 1, 1) << endl;
    // -> [[11,13],[31,33]]
    cout << sub_matrix(m, 1, 2, 1, 2) << endl;
    // -> [[22,23],[32,33]]
}

Matrix elements can be accessed and set using the parenthesis (function call) operator:

const ex & matrix::operator()(unsigned r, unsigned c) const;
ex & matrix::operator()(unsigned r, unsigned c);

It is also possible to access the matrix elements in a linear fashion with the op() method. But C++-style subscripting with square brackets ‘[]’ is not available.

Here are a couple of examples for constructing matrices:

{
    symbol a("a"), b("b");

    matrix M = {{a, 0},
                {0, b}};
    cout << M << endl;
     // -> [[a,0],[0,b]]

    matrix M2(2, 2);
    M2(0, 0) = a;
    M2(1, 1) = b;
    cout << M2 << endl;
     // -> [[a,0],[0,b]]

    cout << matrix(2, 2, lst{a, 0, 0, b}) << endl;
     // -> [[a,0],[0,b]]

    cout << lst_to_matrix(lst{lst{a, 0}, lst{0, b}}) << endl;
     // -> [[a,0],[0,b]]

    cout << diag_matrix(lst{a, b}) << endl;
     // -> [[a,0],[0,b]]

    cout << unit_matrix(3) << endl;
     // -> [[1,0,0],[0,1,0],[0,0,1]]

    cout << symbolic_matrix(2, 3, "x") << endl;
     // -> [[x00,x01,x02],[x10,x11,x12]]
}

The method matrix::is_zero_matrix() returns true only if all entries of the matrix are zeros. There is also method ex::is_zero_matrix() which returns true only if the expression is zero or a zero matrix.

There are three ways to do arithmetic with matrices. The first (and most direct one) is to use the methods provided by the matrix class:

matrix matrix::add(const matrix & other) const;
matrix matrix::sub(const matrix & other) const;
matrix matrix::mul(const matrix & other) const;
matrix matrix::mul_scalar(const ex & other) const;
matrix matrix::pow(const ex & expn) const;
matrix matrix::transpose() const;

All of these methods return the result as a new matrix object. Here is an example that calculates A*B-2*C for three matrices A, B and C:

{
    matrix A = {{ 1, 2},
                { 3, 4}};
    matrix B = {{-1, 0},
                { 2, 1}};
    matrix C = {{ 8, 4},
                { 2, 1}};

    matrix result = A.mul(B).sub(C.mul_scalar(2));
    cout << result << endl;
     // -> [[-13,-6],[1,2]]
    ...
}

The second (and probably the most natural) way is to construct an expression containing matrices with the usual arithmetic operators and pow(). For efficiency reasons, expressions with sums, products and powers of matrices are not automatically evaluated in GiNaC. You have to call the method

ex ex::evalm() const;

to obtain the result:

{
    ...
    ex e = A*B - 2*C;
    cout << e << endl;
     // -> [[1,2],[3,4]]*[[-1,0],[2,1]]-2*[[8,4],[2,1]]
    cout << e.evalm() << endl;
     // -> [[-13,-6],[1,2]]
    ...
}

The non-commutativity of the product A*B in this example is automatically recognized by GiNaC. There is no need to use a special operator here. See Non-commutative objects, for more information about dealing with non-commutative expressions.

Finally, you can work with indexed matrices and call simplify_indexed() to perform the arithmetic:

{
    ...
    idx i(symbol("i"), 2), j(symbol("j"), 2), k(symbol("k"), 2);
    e = indexed(A, i, k) * indexed(B, k, j) - 2 * indexed(C, i, j);
    cout << e << endl;
     // -> -2*[[8,4],[2,1]].i.j+[[-1,0],[2,1]].k.j*[[1,2],[3,4]].i.k
    cout << e.simplify_indexed() << endl;
     // -> [[-13,-6],[1,2]].i.j
}

Using indices is most useful when working with rectangular matrices and one-dimensional vectors because you don’t have to worry about having to transpose matrices before multiplying them. See Indexed objects, for more information about using matrices with indices, and about indices in general.

The matrix class provides a couple of additional methods for computing determinants, traces, characteristic polynomials and ranks:

ex matrix::determinant(unsigned algo=determinant_algo::automatic) const;
ex matrix::trace() const;
ex matrix::charpoly(const ex & lambda) const;
unsigned matrix::rank(unsigned algo=solve_algo::automatic) const;

The optional ‘algo’ argument of determinant() and rank() functions allows to select between different algorithms for calculating the determinant and rank respectively. The asymptotic speed (as parametrized by the matrix size) can greatly differ between those algorithms, depending on the nature of the matrix’ entries. The possible values are defined in the flags.h header file. By default, GiNaC uses a heuristic to automatically select an algorithm that is likely (but not guaranteed) to give the result most quickly.

Linear systems can be solved with:

matrix matrix::solve(const matrix & vars, const matrix & rhs,
                     unsigned algo=solve_algo::automatic) const;

Assuming the matrix object this method is applied on is an m times n matrix, then vars must be a n times p matrix of symbolic indeterminates and rhs a m times p matrix. The returned matrix then has dimension n times p and in the case of an underdetermined system will still contain some of the indeterminates from vars. If the system is overdetermined, an exception is thrown.

To invert a matrix, use the method:

matrix matrix::inverse(unsigned algo=solve_algo::automatic) const;

The ‘algo’ argument is optional. If given, it must be one of solve_algo defined in flags.h.


4.14 Indexed objects

GiNaC allows you to handle expressions containing general indexed objects in arbitrary spaces. It is also able to canonicalize and simplify such expressions and perform symbolic dummy index summations. There are a number of predefined indexed objects provided, like delta and metric tensors.

There are few restrictions placed on indexed objects and their indices and it is easy to construct nonsense expressions, but our intention is to provide a general framework that allows you to implement algorithms with indexed quantities, getting in the way as little as possible.

4.14.1 Indexed quantities and their indices

Indexed expressions in GiNaC are constructed of two special types of objects, index objects and indexed objects.

  • Index objects are of class idx or a subclass. Every index has a value and a dimension (which is the dimension of the space the index lives in) which can both be arbitrary expressions but are usually a number or a simple symbol. In addition, indices of class varidx have a variance (they can be co- or contravariant), and indices of class spinidx have a variance and can be dotted or undotted.
  • Indexed objects are of class indexed or a subclass. They contain a base expression (which is the expression being indexed), and one or more indices.

Please notice: when printing expressions, covariant indices and indices without variance are denoted ‘.i’ while contravariant indices are denoted ‘~i’. Dotted indices have a ‘*’ in front of the index value. In the following, we are going to use that notation in the text so instead of A^i_jk we will write ‘A~i.j.k’. Index dimensions are not visible in the output.

A simple example shall illustrate the concepts:

#include <iostream>
#include <ginac/ginac.h>
using namespace std;
using namespace GiNaC;

int main()
{
    symbol i_sym("i"), j_sym("j");
    idx i(i_sym, 3), j(j_sym, 3);

    symbol A("A");
    cout << indexed(A, i, j) << endl;
     // -> A.i.j
    cout << index_dimensions << indexed(A, i, j) << endl;
     // -> A.i[3].j[3]
    cout << dflt; // reset cout to default output format (dimensions hidden)
    ...

The idx constructor takes two arguments, the index value and the index dimension. First we define two index objects, i and j, both with the numeric dimension 3. The value of the index i is the symbol i_sym (which prints as ‘i’) and the value of the index j is the symbol j_sym (which prints as ‘j’). Next we construct an expression containing one indexed object, ‘A.i.j’. It has the symbol A as its base expression and the two indices i and j.

The dimensions of indices are normally not visible in the output, but one can request them to be printed with the index_dimensions manipulator, as shown above.

Note the difference between the indices i and j which are of class idx, and the index values which are the symbols i_sym and j_sym. The indices of indexed objects cannot directly be symbols or numbers but must be index objects. For example, the following is not correct and will raise an exception:

symbol i("i"), j("j");
e = indexed(A, i, j); // ERROR: indices must be of type idx

You can have multiple indexed objects in an expression, index values can be numeric, and index dimensions symbolic:

    ...
    symbol B("B"), dim("dim");
    cout << 4 * indexed(A, i)
          + indexed(B, idx(j_sym, 4), idx(2, 3), idx(i_sym, dim)) << endl;
     // -> B.j.2.i+4*A.i
    ...

B has a 4-dimensional symbolic index ‘k’, a 3-dimensional numeric index of value 2, and a symbolic index ‘i’ with the symbolic dimension ‘dim’. Note that GiNaC doesn’t automatically notify you that the free indices of ‘A’ and ‘B’ in the sum don’t match (you have to call simplify_indexed() for that, see below).

In fact, base expressions, index values and index dimensions can be arbitrary expressions:

    ...
    cout << indexed(A+B, idx(2*i_sym+1, dim/2)) << endl;
     // -> (B+A).(1+2*i)
    ...

It’s also possible to construct nonsense like ‘Pi.sin(x)’. You will not get an error message from this but you will probably not be able to do anything useful with it.

The methods

ex idx::get_value();
ex idx::get_dim();

return the value and dimension of an idx object. If you have an index in an expression, such as returned by calling .op() on an indexed object, you can get a reference to the idx object with the function ex_to<idx>() on the expression.

There are also the methods

bool idx::is_numeric();
bool idx::is_symbolic();
bool idx::is_dim_numeric();
bool idx::is_dim_symbolic();

for checking whether the value and dimension are numeric or symbolic (non-numeric). Using the info() method of an index (see Getting information about expressions) returns information about the index value.

If you need co- and contravariant indices, use the varidx class:

    ...
    symbol mu_sym("mu"), nu_sym("nu");
    varidx mu(mu_sym, 4), nu(nu_sym, 4); // default is contravariant ~mu, ~nu
    varidx mu_co(mu_sym, 4, true);       // covariant index .mu

    cout << indexed(A, mu, nu) << endl;
     // -> A~mu~nu
    cout << indexed(A, mu_co, nu) << endl;
     // -> A.mu~nu
    cout << indexed(A, mu.toggle_variance(), nu) << endl;
     // -> A.mu~nu
    ...

A varidx is an idx with an additional flag that marks it as co- or contravariant. The default is a contravariant (upper) index, but this can be overridden by supplying a third argument to the varidx constructor. The two methods

bool varidx::is_covariant();
bool varidx::is_contravariant();

allow you to check the variance of a varidx object (use ex_to<varidx>() to get the object reference from an expression). There’s also the very useful method

ex varidx::toggle_variance();

which makes a new index with the same value and dimension but the opposite variance. By using it you only have to define the index once.

The spinidx class provides dotted and undotted variant indices, as used in the Weyl-van-der-Waerden spinor formalism:

    ...
    symbol K("K"), C_sym("C"), D_sym("D");
    spinidx C(C_sym, 2), D(D_sym);          // default is 2-dimensional,
                                            // contravariant, undotted
    spinidx C_co(C_sym, 2, true);           // covariant index
    spinidx D_dot(D_sym, 2, false, true);   // contravariant, dotted
    spinidx D_co_dot(D_sym, 2, true, true); // covariant, dotted

    cout << indexed(K, C, D) << endl;
     // -> K~C~D
    cout << indexed(K, C_co, D_dot) << endl;
     // -> K.C~*D
    cout << indexed(K, D_co_dot, D) << endl;
     // -> K.*D~D
    ...

A spinidx is a varidx with an additional flag that marks it as dotted or undotted. The default is undotted but this can be overridden by supplying a fourth argument to the spinidx constructor. The two methods

bool spinidx::is_dotted();
bool spinidx::is_undotted();

allow you to check whether or not a spinidx object is dotted (use ex_to<spinidx>() to get the object reference from an expression). Finally, the two methods

ex spinidx::toggle_dot();
ex spinidx::toggle_variance_dot();

create a new index with the same value and dimension but opposite dottedness and the same or opposite variance.

4.14.2 Substituting indices

Sometimes you will want to substitute one symbolic index with another symbolic or numeric index, for example when calculating one specific element of a tensor expression. This is done with the .subs() method, as it is done for symbols (see Substituting expressions).

You have two possibilities here. You can either substitute the whole index by another index or expression:

    ...
    ex e = indexed(A, mu_co);
    cout << e << " becomes " << e.subs(mu_co == nu) << endl;
     // -> A.mu becomes A~nu
    cout << e << " becomes " << e.subs(mu_co == varidx(0, 4)) << endl;
     // -> A.mu becomes A~0
    cout << e << " becomes " << e.subs(mu_co == 0) << endl;
     // -> A.mu becomes A.0
    ...

The third example shows that trying to replace an index with something that is not an index will substitute the index value instead.

Alternatively, you can substitute the symbol of a symbolic index by another expression:

    ...
    ex e = indexed(A, mu_co);
    cout << e << " becomes " << e.subs(mu_sym == nu_sym) << endl;
     // -> A.mu becomes A.nu
    cout << e << " becomes " << e.subs(mu_sym == 0) << endl;
     // -> A.mu becomes A.0
    ...

As you see, with the second method only the value of the index will get substituted. Its other properties, including its dimension, remain unchanged. If you want to change the dimension of an index you have to substitute the whole index by another one with the new dimension.

Finally, substituting the base expression of an indexed object works as expected:

    ...
    ex e = indexed(A, mu_co);
    cout << e << " becomes " << e.subs(A == A+B) << endl;
     // -> A.mu becomes (B+A).mu
    ...

4.14.3 Symmetries

Indexed objects can have certain symmetry properties with respect to their indices. Symmetries are specified as a tree of objects of class symmetry that is constructed with the helper functions

symmetry sy_none(...);
symmetry sy_symm(...);
symmetry sy_anti(...);
symmetry sy_cycl(...);

sy_none() stands for no symmetry, sy_symm() and sy_anti() specify fully symmetric or antisymmetric, respectively, and sy_cycl() represents a cyclic symmetry. Each of these functions accepts up to four arguments which can be either symmetry objects themselves or unsigned integer numbers that represent an index position (counting from 0). A symmetry specification that consists of only a single sy_symm(), sy_anti() or sy_cycl() with no arguments specifies the respective symmetry for all indices.

Here are some examples of symmetry definitions:

    ...
    // No symmetry:
    e = indexed(A, i, j);
    e = indexed(A, sy_none(), i, j);     // equivalent
    e = indexed(A, sy_none(0, 1), i, j); // equivalent

    // Symmetric in all three indices:
    e = indexed(A, sy_symm(), i, j, k);
    e = indexed(A, sy_symm(0, 1, 2), i, j, k); // equivalent
    e = indexed(A, sy_symm(2, 0, 1), i, j, k); // same symmetry, but yields a
                                               // different canonical order

    // Symmetric in the first two indices only:
    e = indexed(A, sy_symm(0, 1), i, j, k);
    e = indexed(A, sy_none(sy_symm(0, 1), 2), i, j, k); // equivalent

    // Antisymmetric in the first and last index only (index ranges need not
    // be contiguous):
    e = indexed(A, sy_anti(0, 2), i, j, k);
    e = indexed(A, sy_none(sy_anti(0, 2), 1), i, j, k); // equivalent

    // An example of a mixed symmetry: antisymmetric in the first two and
    // last two indices, symmetric when swapping the first and last index
    // pairs (like the Riemann curvature tensor):
    e = indexed(A, sy_symm(sy_anti(0, 1), sy_anti(2, 3)), i, j, k, l);

    // Cyclic symmetry in all three indices:
    e = indexed(A, sy_cycl(), i, j, k);
    e = indexed(A, sy_cycl(0, 1, 2), i, j, k); // equivalent

    // The following examples are invalid constructions that will throw
    // an exception at run time.

    // An index may not appear multiple times:
    e = indexed(A, sy_symm(0, 0, 1), i, j, k); // ERROR
    e = indexed(A, sy_none(sy_symm(0, 1), sy_anti(0, 2)), i, j, k); // ERROR

    // Every child of sy_symm(), sy_anti() and sy_cycl() must refer to the
    // same number of indices:
    e = indexed(A, sy_symm(sy_anti(0, 1), 2), i, j, k); // ERROR

    // And of course, you cannot specify indices which are not there:
    e = indexed(A, sy_symm(0, 1, 2, 3), i, j, k); // ERROR
    ...

If you need to specify more than four indices, you have to use the .add() method of the symmetry class. For example, to specify full symmetry in the first six indices you would write sy_symm(0, 1, 2, 3).add(4).add(5).

If an indexed object has a symmetry, GiNaC will automatically bring the indices into a canonical order which allows for some immediate simplifications:

    ...
    cout << indexed(A, sy_symm(), i, j)
          + indexed(A, sy_symm(), j, i) << endl;
     // -> 2*A.j.i
    cout << indexed(B, sy_anti(), i, j)
          + indexed(B, sy_anti(), j, i) << endl;
     // -> 0
    cout << indexed(B, sy_anti(), i, j, k)
          - indexed(B, sy_anti(), j, k, i) << endl;
     // -> 0
    ...

4.14.4 Dummy indices

GiNaC treats certain symbolic index pairs as dummy indices meaning that a summation over the index range is implied. Symbolic indices which are not dummy indices are called free indices. Numeric indices are neither dummy nor free indices.

To be recognized as a dummy index pair, the two indices must be of the same class and their value must be the same single symbol (an index like ‘2*n+1’ is never a dummy index). If the indices are of class varidx they must also be of opposite variance; if they are of class spinidx they must be both dotted or both undotted.

The method .get_free_indices() returns a vector containing the free indices of an expression. It also checks that the free indices of the terms of a sum are consistent:

{
    symbol A("A"), B("B"), C("C");

    symbol i_sym("i"), j_sym("j"), k_sym("k"), l_sym("l");
    idx i(i_sym, 3), j(j_sym, 3), k(k_sym, 3), l(l_sym, 3);

    ex e = indexed(A, i, j) * indexed(B, j, k) + indexed(C, k, l, i, l);
    cout << exprseq(e.get_free_indices()) << endl;
     // -> (.i,.k)
     // 'j' and 'l' are dummy indices

    symbol mu_sym("mu"), nu_sym("nu"), rho_sym("rho"), sigma_sym("sigma");
    varidx mu(mu_sym, 4), nu(nu_sym, 4), rho(rho_sym, 4), sigma(sigma_sym, 4);

    e = indexed(A, mu, nu) * indexed(B, nu.toggle_variance(), rho)
      + indexed(C, mu, sigma, rho, sigma.toggle_variance());
    cout << exprseq(e.get_free_indices()) << endl;
     // -> (~mu,~rho)
     // 'nu' is a dummy index, but 'sigma' is not

    e = indexed(A, mu, mu);
    cout << exprseq(e.get_free_indices()) << endl;
     // -> (~mu)
     // 'mu' is not a dummy index because it appears twice with the same
     // variance

    e = indexed(A, mu, nu) + 42;
    cout << exprseq(e.get_free_indices()) << endl; // ERROR
     // this will throw an exception:
     // "add::get_free_indices: inconsistent indices in sum"
}

A dummy index summation like a.i b~i can be expanded for indices with numeric dimensions (e.g. 3) into the explicit sum like a.1 b~1 + a.2 b~2 + a.3 b~3. This is performed by the function

    ex expand_dummy_sum(const ex & e, bool subs_idx = false);

which takes an expression e and returns the expanded sum for all dummy indices with numeric dimensions. If the parameter subs_idx is set to true then all substitutions are made by idx class indices, i.e. without variance. In this case the above sum a.i b~i will be expanded to a.1 b.1 + a.2 b.2 + a.3 b.3.

4.14.5 Simplifying indexed expressions

In addition to the few automatic simplifications that GiNaC performs on indexed expressions (such as re-ordering the indices of symmetric tensors and calculating traces and convolutions of matrices and predefined tensors) there is the method

ex ex::simplify_indexed();
ex ex::simplify_indexed(const scalar_products & sp);

that performs some more expensive operations:

  • it checks the consistency of free indices in sums in the same way get_free_indices() does
  • it tries to give dummy indices that appear in different terms of a sum the same name to allow simplifications like a_i*b_i-a_j*b_j=0
  • it (symbolically) calculates all possible dummy index summations/contractions with the predefined tensors (this will be explained in more detail in the next section)
  • it detects contractions that vanish for symmetry reasons, for example the contraction of a symmetric and a totally antisymmetric tensor
  • as a special case of dummy index summation, it can replace scalar products of two tensors with a user-defined value

The last point is done with the help of the scalar_products class which is used to store scalar products with known values (this is not an arithmetic class, you just pass it to simplify_indexed()):

{
    symbol A("A"), B("B"), C("C"), i_sym("i");
    idx i(i_sym, 3);

    scalar_products sp;
    sp.add(A, B, 0); // A and B are orthogonal
    sp.add(A, C, 0); // A and C are orthogonal
    sp.add(A, A, 4); // A^2 = 4 (A has length 2)

    e = indexed(A + B, i) * indexed(A + C, i);
    cout << e << endl;
     // -> (B+A).i*(A+C).i

    cout << e.expand(expand_options::expand_indexed).simplify_indexed(sp)
         << endl;
     // -> 4+C.i*B.i
}

The scalar_products object sp acts as a storage for the scalar products added to it with the .add() method. This method takes three arguments: the two expressions of which the scalar product is taken, and the expression to replace it with.

The example above also illustrates a feature of the expand() method: if passed the expand_indexed option it will distribute indices over sums, so ‘(A+B).i’ becomes ‘A.i+B.i’.

4.14.6 Predefined tensors

Some frequently used special tensors such as the delta, epsilon and metric tensors are predefined in GiNaC. They have special properties when contracted with other tensor expressions and some of them have constant matrix representations (they will evaluate to a number when numeric indices are specified).

4.14.6.1 Delta tensor

The delta tensor takes two indices, is symmetric and has the matrix representation diag(1, 1, 1, ...). It is constructed by the function delta_tensor():

{
    symbol A("A"), B("B");

    idx i(symbol("i"), 3), j(symbol("j"), 3),
        k(symbol("k"), 3), l(symbol("l"), 3);

    ex e = indexed(A, i, j) * indexed(B, k, l)
         * delta_tensor(i, k) * delta_tensor(j, l);
    cout << e.simplify_indexed() << endl;
     // -> B.i.j*A.i.j

    cout << delta_tensor(i, i) << endl;
     // -> 3
}

4.14.6.2 General metric tensor

The function metric_tensor() creates a general symmetric metric tensor with two indices that can be used to raise/lower tensor indices. The metric tensor is denoted as ‘g’ in the output and if its indices are of mixed variance it is automatically replaced by a delta tensor:

{
    symbol A("A");

    varidx mu(symbol("mu"), 4), nu(symbol("nu"), 4), rho(symbol("rho"), 4);

    ex e = metric_tensor(mu, nu) * indexed(A, nu.toggle_variance(), rho);
    cout << e.simplify_indexed() << endl;
     // -> A~mu~rho

    e = delta_tensor(mu, nu.toggle_variance()) * metric_tensor(nu, rho);
    cout << e.simplify_indexed() << endl;
     // -> g~mu~rho

    e = metric_tensor(mu.toggle_variance(), nu.toggle_variance())
      * metric_tensor(nu, rho);
    cout << e.simplify_indexed() << endl;
     // -> delta.mu~rho

    e = metric_tensor(nu.toggle_variance(), rho.toggle_variance())
      * metric_tensor(mu, nu) * (delta_tensor(mu.toggle_variance(), rho)
        + indexed(A, mu.toggle_variance(), rho));
    cout << e.simplify_indexed() << endl;
     // -> 4+A.rho~rho
}

4.14.6.3 Minkowski metric tensor

The Minkowski metric tensor is a special metric tensor with a constant matrix representation which is either diag(1, -1, -1, ...) (negative signature, the default) or diag(-1, 1, 1, ...) (positive signature). It is created with the function lorentz_g() (although it is output as ‘eta’):

{
    varidx mu(symbol("mu"), 4);

    e = delta_tensor(varidx(0, 4), mu.toggle_variance())
      * lorentz_g(mu, varidx(0, 4));       // negative signature
    cout << e.simplify_indexed() << endl;
     // -> 1

    e = delta_tensor(varidx(0, 4), mu.toggle_variance())
      * lorentz_g(mu, varidx(0, 4), true); // positive signature
    cout << e.simplify_indexed() << endl;
     // -> -1
}

4.14.6.4 Spinor metric tensor

The function spinor_metric() creates an antisymmetric tensor with two indices that is used to raise/lower indices of 2-component spinors. It is output as ‘eps’:

{
    symbol psi("psi");

    spinidx A(symbol("A")), B(symbol("B")), C(symbol("C"));
    ex A_co = A.toggle_variance(), B_co = B.toggle_variance();

    e = spinor_metric(A, B) * indexed(psi, B_co);
    cout << e.simplify_indexed() << endl;
     // -> psi~A

    e = spinor_metric(A, B) * indexed(psi, A_co);
    cout << e.simplify_indexed() << endl;
     // -> -psi~B

    e = spinor_metric(A_co, B_co) * indexed(psi, B);
    cout << e.simplify_indexed() << endl;
     // -> -psi.A

    e = spinor_metric(A_co, B_co) * indexed(psi, A);
    cout << e.simplify_indexed() << endl;
     // -> psi.B

    e = spinor_metric(A_co, B_co) * spinor_metric(A, B);
    cout << e.simplify_indexed() << endl;
     // -> 2

    e = spinor_metric(A_co, B_co) * spinor_metric(B, C);
    cout << e.simplify_indexed() << endl;
     // -> -delta.A~C
}

The matrix representation of the spinor metric is [[0, 1], [-1, 0]].

4.14.6.5 Epsilon tensor

The epsilon tensor is totally antisymmetric, its number of indices is equal to the dimension of the index space (the indices must all be of the same numeric dimension), and ‘eps.1.2.3...’ (resp. ‘eps~0~1~2...’) is defined to be 1. Its behavior with indices that have a variance also depends on the signature of the metric. Epsilon tensors are output as ‘eps’.

There are three functions defined to create epsilon tensors in 2, 3 and 4 dimensions:

ex epsilon_tensor(const ex & i1, const ex & i2);
ex epsilon_tensor(const ex & i1, const ex & i2, const ex & i3);
ex lorentz_eps(const ex & i1, const ex & i2, const ex & i3, const ex & i4,
               bool pos_sig = false);

The first two functions create an epsilon tensor in 2 or 3 Euclidean dimensions, the last function creates an epsilon tensor in a 4-dimensional Minkowski space (the last bool argument specifies whether the metric has negative or positive signature, as in the case of the Minkowski metric tensor):

{
    varidx mu(symbol("mu"), 4), nu(symbol("nu"), 4), rho(symbol("rho"), 4),
           sig(symbol("sig"), 4), lam(symbol("lam"), 4), bet(symbol("bet"), 4);
    e = lorentz_eps(mu, nu, rho, sig) *
        lorentz_eps(mu.toggle_variance(), nu.toggle_variance(), lam, bet);
    cout << simplify_indexed(e) << endl;
     // -> 2*eta~bet~rho*eta~sig~lam-2*eta~sig~bet*eta~rho~lam

    idx i(symbol("i"), 3), j(symbol("j"), 3), k(symbol("k"), 3);
    symbol A("A"), B("B");
    e = epsilon_tensor(i, j, k) * indexed(A, j) * indexed(B, k);
    cout << simplify_indexed(e) << endl;
     // -> -B.k*A.j*eps.i.k.j
    e = epsilon_tensor(i, j, k) * indexed(A, j) * indexed(A, k);
    cout << simplify_indexed(e) << endl;
     // -> 0
}

4.14.7 Linear algebra

The matrix class can be used with indices to do some simple linear algebra (linear combinations and products of vectors and matrices, traces and scalar products):

{
    idx i(symbol("i"), 2), j(symbol("j"), 2);
    symbol x("x"), y("y");

    // A is a 2x2 matrix, X is a 2x1 vector
    matrix A = {{1, 2},
                {3, 4}};
    matrix X = {{x, y}};

    cout << indexed(A, i, i) << endl;
     // -> 5

    ex e = indexed(A, i, j) * indexed(X, j);
    cout << e.simplify_indexed() << endl;
     // -> [[2*y+x],[4*y+3*x]].i

    e = indexed(A, i, j) * indexed(X, i) + indexed(X, j) * 2;
    cout << e.simplify_indexed() << endl;
     // -> [[3*y+3*x,6*y+2*x]].j
}

You can of course obtain the same results with the matrix::add(), matrix::mul() and matrix::trace() methods (see Matrices) but with indices you don’t have to worry about transposing matrices.

Matrix indices always start at 0 and their dimension must match the number of rows/columns of the matrix. Matrices with one row or one column are vectors and can have one or two indices (it doesn’t matter whether it’s a row or a column vector). Other matrices must have two indices.

You should be careful when using indices with variance on matrices. GiNaC doesn’t look at the variance and doesn’t know that ‘F~mu~nu’ and ‘F.mu.nu’ are different matrices. In this case you should use only one form for ‘F’ and explicitly multiply it with a matrix representation of the metric tensor.


4.15 Non-commutative objects

GiNaC is equipped to handle certain non-commutative algebras. Three classes of non-commutative objects are built-in which are mostly of use in high energy physics:

  • Clifford (Dirac) algebra (class clifford)
  • su(3) Lie algebra (class color)
  • Matrices (unindexed) (class matrix)

The clifford and color classes are subclasses of indexed because the elements of these algebras usually carry indices. The matrix class is described in more detail in Matrices.

Unlike most computer algebra systems, GiNaC does not primarily provide an operator (often denoted ‘&*’) for representing inert products of arbitrary objects. Rather, non-commutativity in GiNaC is a property of the classes of objects involved, and non-commutative products are formed with the usual ‘*’ operator, as are ordinary products. GiNaC is capable of figuring out by itself which objects commutate and will group the factors by their class. Consider this example:

    ...
    varidx mu(symbol("mu"), 4), nu(symbol("nu"), 4);
    idx a(symbol("a"), 8), b(symbol("b"), 8);
    ex e = -dirac_gamma(mu) * (2*color_T(a)) * 8 * color_T(b) * dirac_gamma(nu);
    cout << e << endl;
     // -> -16*(gamma~mu*gamma~nu)*(T.a*T.b)
    ...

As can be seen, GiNaC pulls out the overall commutative factor ‘-16’ and groups the non-commutative factors (the gammas and the su(3) generators) together while preserving the order of factors within each class (because Clifford objects commutate with color objects). The resulting expression is a commutative product with two factors that are themselves non-commutative products (‘gamma~mu*gamma~nu’ and ‘T.a*T.b’). For clarification, parentheses are placed around the non-commutative products in the output.

Non-commutative products are internally represented by objects of the class ncmul, as opposed to commutative products which are handled by the mul class. You will normally not have to worry about this distinction, though.

The advantage of this approach is that you never have to worry about using (or forgetting to use) a special operator when constructing non-commutative expressions. Also, non-commutative products in GiNaC are more intelligent than in other computer algebra systems; they can, for example, automatically canonicalize themselves according to rules specified in the implementation of the non-commutative classes. The drawback is that to work with other than the built-in algebras you have to implement new classes yourself. Both symbols and user-defined functions can be specified as being non-commutative. For symbols, this is done by subclassing class symbol; for functions, by explicitly setting the return type (see Symbolic functions).

Information about the commutativity of an object or expression can be obtained with the two member functions

unsigned      ex::return_type() const;
return_type_t ex::return_type_tinfo() const;

The return_type() function returns one of three values (defined in the header file flags.h), corresponding to three categories of expressions in GiNaC:

  • return_types::commutative: Commutates with everything. Most GiNaC classes are of this kind.
  • return_types::noncommutative: Non-commutative, belonging to a certain class of non-commutative objects which can be determined with the return_type_tinfo() method. Expressions of this category commutate with everything except noncommutative expressions of the same class.
  • return_types::noncommutative_composite: Non-commutative, composed of non-commutative objects of different classes. Expressions of this category don’t commutate with any other noncommutative or noncommutative_composite expressions.

The return_type_tinfo() method returns an object of type return_type_t that contains information about the type of the expression and, if given, its representation label (see section on dirac gamma matrices for more details). The objects of type return_type_t can be tested for equality to test whether two expressions belong to the same category and therefore may not commute.

Here are a couple of examples:

Expressionreturn_type()
42commutative
2*x-ycommutative
dirac_ONE()noncommutative
dirac_gamma(mu)*dirac_gamma(nu)noncommutative
2*color_T(a)noncommutative
dirac_ONE()*color_T(a)noncommutative_composite

A last note: With the exception of matrices, positive integer powers of non-commutative objects are automatically expanded in GiNaC. For example, pow(a*b, 2) becomes ‘a*b*a*b’ if ‘a’ and ‘b’ are non-commutative expressions).

4.15.1 Clifford algebra

Clifford algebras are supported in two flavours: Dirac gamma matrices (more physical) and generic Clifford algebras (more mathematical).

4.15.1.1 Dirac gamma matrices

Dirac gamma matrices (note that GiNaC doesn’t treat them as matrices) are designated as ‘gamma~mu’ and satisfy ‘gamma~mu*gamma~nu + gamma~nu*gamma~mu = 2*eta~mu~nu’ where ‘eta~mu~nu’ is the Minkowski metric tensor. Dirac gammas are constructed by the function

ex dirac_gamma(const ex & mu, unsigned char rl = 0);

which takes two arguments: the index and a representation label in the range 0 to 255 which is used to distinguish elements of different Clifford algebras (this is also called a spin line index). Gammas with different labels commutate with each other. The dimension of the index can be 4 or (in the framework of dimensional regularization) any symbolic value. Spinor indices on Dirac gammas are not supported in GiNaC.

The unity element of a Clifford algebra is constructed by

ex dirac_ONE(unsigned char rl = 0);

Please notice: You must always use dirac_ONE() when referring to multiples of the unity element, even though it’s customary to omit it. E.g. instead of dirac_gamma(mu)*(dirac_slash(q,4)+m) you have to write dirac_gamma(mu)*(dirac_slash(q,4)+m*dirac_ONE()). Otherwise, GiNaC will complain and/or produce incorrect results.

There is a special element ‘gamma5’ that commutates with all other gammas, has a unit square, and in 4 dimensions equals ‘gamma~0 gamma~1 gamma~2 gamma~3’, provided by

ex dirac_gamma5(unsigned char rl = 0);

The chiral projectors ‘(1+/-gamma5)/2’ are also available as proper objects, constructed by

ex dirac_gammaL(unsigned char rl = 0);
ex dirac_gammaR(unsigned char rl = 0);

They observe the relations ‘gammaL^2 = gammaL’, ‘gammaR^2 = gammaR’, and ‘gammaL gammaR = gammaR gammaL = 0’.

Finally, the function

ex dirac_slash(const ex & e, const ex & dim, unsigned char rl = 0);

creates a term that represents a contraction of ‘e’ with the Dirac Lorentz vector (it behaves like a term of the form ‘e.mu gamma~mu’ with a unique index whose dimension is given by the dim argument). Such slashed expressions are printed with a trailing backslash, e.g. ‘e\’.

In products of dirac gammas, superfluous unity elements are automatically removed, squares are replaced by their values, and ‘gamma5’, ‘gammaL’ and ‘gammaR’ are moved to the front.

The simplify_indexed() function performs contractions in gamma strings, for example

{
    ...
    symbol a("a"), b("b"), D("D");
    varidx mu(symbol("mu"), D);
    ex e = dirac_gamma(mu) * dirac_slash(a, D)
         * dirac_gamma(mu.toggle_variance());
    cout << e << endl;
     // -> gamma~mu*a\*gamma.mu
    e = e.simplify_indexed();
    cout << e << endl;
     // -> -D*a\+2*a\
    cout << e.subs(D == 4) << endl;
     // -> -2*a\
    ...
}

To calculate the trace of an expression containing strings of Dirac gammas you use one of the functions

ex dirac_trace(const ex & e, const std::set<unsigned char> & rls,
               const ex & trONE = 4);
ex dirac_trace(const ex & e, const lst & rll, const ex & trONE = 4);
ex dirac_trace(const ex & e, unsigned char rl = 0, const ex & trONE = 4);

These functions take the trace over all gammas in the specified set rls or list rll of representation labels, or the single label rl; gammas with other labels are left standing. The last argument to dirac_trace() is the value to be returned for the trace of the unity element, which defaults to 4.

The dirac_trace() function is a linear functional that is equal to the ordinary matrix trace only in D = 4 dimensions. In particular, the functional is not cyclic in D != 4 dimensions when acting on expressions containing ‘gamma5’, so it’s not a proper trace. This ‘gamma5’ scheme is described in greater detail in the article The Role of gamma5 in Dimensional Regularization (Bibliography).

The value of the trace itself is also usually different in 4 and in D != 4 dimensions:

{
    // 4 dimensions
    varidx mu(symbol("mu"), 4), nu(symbol("nu"), 4), rho(symbol("rho"), 4);
    ex e = dirac_gamma(mu) * dirac_gamma(nu) *
           dirac_gamma(mu.toggle_variance()) * dirac_gamma(rho);
    cout << dirac_trace(e).simplify_indexed() << endl;
     // -> -8*eta~rho~nu
}
...
{
    // D dimensions
    symbol D("D");
    varidx mu(symbol("mu"), D), nu(symbol("nu"), D), rho(symbol("rho"), D);
    ex e = dirac_gamma(mu) * dirac_gamma(nu) *
           dirac_gamma(mu.toggle_variance()) * dirac_gamma(rho);
    cout << dirac_trace(e).simplify_indexed() << endl;
     // -> 8*eta~rho~nu-4*eta~rho~nu*D
}

Here is an example for using dirac_trace() to compute a value that appears in the calculation of the one-loop vacuum polarization amplitude in QED:

{
    symbol q("q"), l("l"), m("m"), ldotq("ldotq"), D("D");
    varidx mu(symbol("mu"), D), nu(symbol("nu"), D);

    scalar_products sp;
    sp.add(l, l, pow(l, 2));
    sp.add(l, q, ldotq);

    ex e = dirac_gamma(mu) *
           (dirac_slash(l, D) + dirac_slash(q, D) + m * dirac_ONE()) *    
           dirac_gamma(mu.toggle_variance()) *
           (dirac_slash(l, D) + m * dirac_ONE());   
    e = dirac_trace(e).simplify_indexed(sp);
    e = e.collect(lst{l, ldotq, m});
    cout << e << endl;
     // -> (8-4*D)*l^2+(8-4*D)*ldotq+4*D*m^2
}

The canonicalize_clifford() function reorders all gamma products that appear in an expression to a canonical (but not necessarily simple) form. You can use this to compare two expressions or for further simplifications:

{
    varidx mu(symbol("mu"), 4), nu(symbol("nu"), 4);
    ex e = dirac_gamma(mu) * dirac_gamma(nu) + dirac_gamma(nu) * dirac_gamma(mu);
    cout << e << endl;
     // -> gamma~mu*gamma~nu+gamma~nu*gamma~mu

    e = canonicalize_clifford(e);
    cout << e << endl;
     // -> 2*ONE*eta~mu~nu
}

4.15.1.2 A generic Clifford algebra

A generic Clifford algebra, i.e. a 2^n dimensional algebra with generators e_k satisfying the identities e~i e~j + e~j e~i = M(i, j) + M(j, i) for some bilinear form (metric) M(i, j), which may be non-symmetric (see arXiv:math.QA/9911180) and contain symbolic entries. Such generators are created by the function

    ex clifford_unit(const ex & mu, const ex & metr, unsigned char rl = 0);    

where mu should be a idx (or descendant) class object indexing the generators. Parameter metr defines the metric M(i, j) and can be represented by a square matrix, tensormetric or indexed class object. In fact, any expression either with two free indices or without indices at all is admitted as metr. In the later case an indexed object with two newly created indices with metr as its op(0) will be used. Optional parameter rl allows to distinguish different Clifford algebras, which will commute with each other.

Note that the call clifford_unit(mu, minkmetric()) creates something very close to dirac_gamma(mu), although dirac_gamma have more efficient simplification mechanism. Also, the object created by clifford_unit(mu, minkmetric()) is not aware about the symmetry of its metric, see the start of the previous paragraph. A more accurate analog of ’dirac_gamma(mu)’ should be specifies as follows:

    clifford_unit(mu, indexed(minkmetric(),sy_symm(),varidx(symbol("i"),4),varidx(symbol("j"),4)));

The method clifford::get_metric() returns a metric defining this Clifford number.

If the matrix M(i, j) is in fact symmetric you may prefer to create the Clifford algebra units with a call like that

    ex e = clifford_unit(mu, indexed(M, sy_symm(), i, j));

since this may yield some further automatic simplifications. Again, for a metric defined through a matrix such a symmetry is detected automatically.

Individual generators of a Clifford algebra can be accessed in several ways. For example

{
    ... 
    idx i(symbol("i"), 4);
    realsymbol s("s");
    ex M = diag_matrix(lst{1, -1, 0, s});
    ex e = clifford_unit(i, M);
    ex e0 = e.subs(i == 0);
    ex e1 = e.subs(i == 1);
    ex e2 = e.subs(i == 2);
    ex e3 = e.subs(i == 3);
    ...
}

will produce four anti-commuting generators of a Clifford algebra with properties pow(e0, 2) = 1, pow(e1, 2) = -1, pow(e2, 2) = 0 and pow(e3, 2) = s.

A similar effect can be achieved from the function

    ex lst_to_clifford(const ex & v, const ex & mu,  const ex & metr,
                       unsigned char rl = 0);
    ex lst_to_clifford(const ex & v, const ex & e);

which converts a list or vector ‘v = (v~0, v~1, ..., v~n)’ into the Clifford number ‘v~0 e.0 + v~1 e.1 + ... + v~n e.n’ with ‘e.k’ directly supplied in the second form of the procedure. In the first form the Clifford unit ‘e.k’ is generated by the call of clifford_unit(mu, metr, rl). If the number of components supplied by v exceeds the dimensionality of the Clifford unit e by 1 then function lst_to_clifford() uses the following pseudo-vector representation: ‘v~0 ONE + v~1 e.0 + v~2 e.1 + ... + v~[n+1] e.n

The previous code may be rewritten with the help of lst_to_clifford() as follows

{
    ...
    idx i(symbol("i"), 4);
    realsymbol s("s");
    ex M = diag_matrix({1, -1, 0, s});
    ex e0 = lst_to_clifford(lst{1, 0, 0, 0}, i, M);
    ex e1 = lst_to_clifford(lst{0, 1, 0, 0}, i, M);
    ex e2 = lst_to_clifford(lst{0, 0, 1, 0}, i, M);
    ex e3 = lst_to_clifford(lst{0, 0, 0, 1}, i, M);
  ...
}

There is the inverse function

    lst clifford_to_lst(const ex & e, const ex & c, bool algebraic = true);

which takes an expression e and tries to find a list ‘v = (v~0, v~1, ..., v~n)’ such that the expression is either vector ‘e = v~0 c.0 + v~1 c.1 + ... + v~n c.n’ or pseudo-vector ‘v~0 ONE + v~1 e.0 + v~2 e.1 + ... + v~[n+1] e.n’ with respect to the given Clifford units c. Here none of the ‘v~k’ should contain Clifford units c (of course, this may be impossible). This function can use an algebraic method (default) or a symbolic one. With the algebraic method the ‘v~k’ are calculated as ‘(e c.k + c.k e)/pow(c.k, 2)’. If ‘pow(c.k, 2)’ is zero or is not numeric for some ‘k’ then the method will be automatically changed to symbolic. The same effect is obtained by the assignment (algebraic = false) in the procedure call.

There are several functions for (anti-)automorphisms of Clifford algebras:

    ex clifford_prime(const ex & e)
    inline ex clifford_star(const ex & e)
    inline ex clifford_bar(const ex & e)

The automorphism of a Clifford algebra clifford_prime() simply changes signs of all Clifford units in the expression. The reversion of a Clifford algebra clifford_star() reverses the order of Clifford units in any product. Finally the main anti-automorphism of a Clifford algebra clifford_bar() is the composition of the previous two, i.e. it makes the reversion and changes signs of all Clifford units in a product. These functions correspond to the notations e', e* and \bar{e} used in Clifford algebra textbooks.

The function

    ex clifford_norm(const ex & e);

calculates the norm of a Clifford number from the expression ||e||^2 = e \bar{e} The inverse of a Clifford expression is returned by the function

    ex clifford_inverse(const ex & e);

which calculates it as e^{-1} = \bar{e}/||e||^2 If ||e||=0 then an exception is raised.

If a Clifford number happens to be a factor of dirac_ONE() then we can convert it to a “real” (non-Clifford) expression by the function

    ex remove_dirac_ONE(const ex & e);

The function canonicalize_clifford() works for a generic Clifford algebra in a similar way as for Dirac gammas.

The next provided function is

    ex clifford_moebius_map(const ex & a, const ex & b, const ex & c,
                            const ex & d, const ex & v, const ex & G,
                            unsigned char rl = 0);
    ex clifford_moebius_map(const ex & M, const ex & v, const ex & G,
                            unsigned char rl = 0);

It takes a list or vector v and makes the Moebius (conformal or linear-fractional) transformation ‘v -> (av+b)/(cv+d)’ defined by the matrix ‘M = [[a, b], [c, d]]’. The parameter G defines the metric of the surrounding (pseudo-)Euclidean space. This can be an indexed object, tensormetric, matrix or a Clifford unit, in the later case the optional parameter rl is ignored even if supplied. Depending from the type of v the returned value of this function is either a vector or a list holding vector’s components.

Finally the function

char clifford_max_label(const ex & e, bool ignore_ONE = false);

can detect a presence of Clifford objects in the expression e: if such objects are found it returns the maximal representation_label of them, otherwise -1. The optional parameter ignore_ONE indicates if dirac_ONE objects should be ignored during the search.

LaTeX output for Clifford units looks like \clifford[1]{e}^{{\nu}}, where 1 is the representation_label and \nu is the index of the corresponding unit. This provides a flexible typesetting with a suitable definition of the \clifford command. For example, the definition

    \newcommand{\clifford}[1][]{}

typesets all Clifford units identically, while the alternative definition

    \newcommand{\clifford}[2][]{\ifcase #1 #2\or \tilde{#2} \or \breve{#2} \fi}

prints units with representation_label=0 as e, with representation_label=1 as \tilde{e} and with representation_label=2 as \breve{e}.

4.15.2 Color algebra

For computations in quantum chromodynamics, GiNaC implements the base elements and structure constants of the su(3) Lie algebra (color algebra). The base elements T_a are constructed by the function

ex color_T(const ex & a, unsigned char rl = 0);

which takes two arguments: the index and a representation label in the range 0 to 255 which is used to distinguish elements of different color algebras. Objects with different labels commutate with each other. The dimension of the index must be exactly 8 and it should be of class idx, not varidx.

The unity element of a color algebra is constructed by

ex color_ONE(unsigned char rl = 0);

Please notice: You must always use color_ONE() when referring to multiples of the unity element, even though it’s customary to omit it. E.g. instead of color_T(a)*(color_T(b)*indexed(X,b)+1) you have to write color_T(a)*(color_T(b)*indexed(X,b)+color_ONE()). Otherwise, GiNaC may produce incorrect results.

The functions

ex color_d(const ex & a, const ex & b, const ex & c);
ex color_f(const ex & a, const ex & b, const ex & c);

create the symmetric and antisymmetric structure constants d_abc and f_abc which satisfy {T_a, T_b} = 1/3 delta_ab + d_abc T_c and [T_a, T_b] = i f_abc T_c.

These functions evaluate to their numerical values, if you supply numeric indices to them. The index values should be in the range from 1 to 8, not from 0 to 7. This departure from usual conventions goes along better with the notations used in physical literature.

There’s an additional function

ex color_h(const ex & a, const ex & b, const ex & c);

which returns the linear combination ‘color_d(a, b, c)+I*color_f(a, b, c)’.

The function simplify_indexed() performs some simplifications on expressions containing color objects:

{
    ...
    idx a(symbol("a"), 8), b(symbol("b"), 8), c(symbol("c"), 8),
        k(symbol("k"), 8), l(symbol("l"), 8);

    e = color_d(a, b, l) * color_f(a, b, k);
    cout << e.simplify_indexed() << endl;
     // -> 0

    e = color_d(a, b, l) * color_d(a, b, k);
    cout << e.simplify_indexed() << endl;
     // -> 5/3*delta.k.l

    e = color_f(l, a, b) * color_f(a, b, k);
    cout << e.simplify_indexed() << endl;
     // -> 3*delta.k.l

    e = color_h(a, b, c) * color_h(a, b, c);
    cout << e.simplify_indexed() << endl;
     // -> -32/3

    e = color_h(a, b, c) * color_T(b) * color_T(c);
    cout << e.simplify_indexed() << endl;
     // -> -2/3*T.a

    e = color_h(a, b, c) * color_T(a) * color_T(b) * color_T(c);
    cout << e.simplify_indexed() << endl;
     // -> -8/9*ONE

    e = color_T(k) * color_T(a) * color_T(b) * color_T(k);
    cout << e.simplify_indexed() << endl;
     // -> 1/4*delta.b.a*ONE-1/6*T.a*T.b
    ...

To calculate the trace of an expression containing color objects you use one of the functions

ex color_trace(const ex & e, const std::set<unsigned char> & rls);
ex color_trace(const ex & e, const lst & rll);
ex color_trace(const ex & e, unsigned char rl = 0);

These functions take the trace over all color ‘T’ objects in the specified set rls or list rll of representation labels, or the single label rl; ‘T’s with other labels are left standing. For example:

    ...
    e = color_trace(4 * color_T(a) * color_T(b) * color_T(c));
    cout << e << endl;
     // -> -I*f.a.c.b+d.a.c.b
}

5 Methods and functions

In this chapter the most important algorithms provided by GiNaC will be described. Some of them are implemented as functions on expressions, others are implemented as methods provided by expression objects. If they are methods, there exists a wrapper function around it, so you can alternatively call it in a functional way as shown in the simple example:

    ...
    cout << "As method:   " << sin(1).evalf() << endl;
    cout << "As function: " << evalf(sin(1)) << endl;
    ...

The general rule is that wherever methods accept one or more parameters (arg1, arg2, …) the order of arguments the function wrapper accepts is the same but preceded by the object to act on (object, arg1, arg2, …). This approach is the most natural one in an OO model but it may lead to confusion for MapleV users because where they would type A:=x+1; subs(x=2,A); GiNaC would require A=x+1; subs(A,x==2); (after proper declaration of A and x). On the other hand, since MapleV returns 3 on A:=x^2+3; coeff(A,x,0); (GiNaC: A=pow(x,2)+3; coeff(A,x,0);) it is clear that MapleV is not trying to be consistent here. Also, users of MuPAD will in most cases feel more comfortable with GiNaC’s convention. All function wrappers are implemented as simple inline functions which just call the corresponding method and are only provided for users uncomfortable with OO who are dead set to avoid method invocations. Generally, nested function wrappers are much harder to read than a sequence of methods and should therefore be avoided if possible. On the other hand, not everything in GiNaC is a method on class ex and sometimes calling a function cannot be avoided.


5.1 Getting information about expressions

5.1.1 Checking expression types

Sometimes it’s useful to check whether a given expression is a plain number, a sum, a polynomial with integer coefficients, or of some other specific type. GiNaC provides a couple of functions for this:

bool is_a<T>(const ex & e);
bool is_exactly_a<T>(const ex & e);
bool ex::info(unsigned flag);
unsigned ex::return_type() const;
return_type_t ex::return_type_tinfo() const;

When the test made by is_a<T>() returns true, it is safe to call one of the functions ex_to<T>(), where T is one of the class names (See The class hierarchy, for a list of all classes). For example, assuming e is an ex:

{
    ...
    if (is_a<numeric>(e))
        numeric n = ex_to<numeric>(e);
    ...
}

is_a<T>(e) allows you to check whether the top-level object of an expression ‘e’ is an instance of the GiNaC class ‘T’ (See The class hierarchy, for a list of all classes). This is most useful, e.g., for checking whether an expression is a number, a sum, or a product:

{
    symbol x("x");
    ex e1 = 42;
    ex e2 = 4*x - 3;
    is_a<numeric>(e1);  // true
    is_a<numeric>(e2);  // false
    is_a<add>(e1);      // false
    is_a<add>(e2);      // true
    is_a<mul>(e1);      // false
    is_a<mul>(e2);      // false
}

In contrast, is_exactly_a<T>(e) allows you to check whether the top-level object of an expression ‘e’ is an instance of the GiNaC class ‘T’, not including parent classes.

The info() method is used for checking certain attributes of expressions. The possible values for the flag argument are defined in ginac/flags.h, the most important being explained in the following table:

FlagReturns true if the object is…
numeric…a number (same as is_a<numeric>(...))
real…a real number, symbol or constant (i.e. is not complex)
rational…an exact rational number (integers are rational, too)
integer…a (non-complex) integer
crational…an exact (complex) rational number (such as 2/3+7/2*I)
cinteger…a (complex) integer (such as 2-3*I)
positive…not complex and greater than 0
negative…not complex and less than 0
nonnegative…not complex and greater than or equal to 0
posint…an integer greater than 0
negint…an integer less than 0
nonnegint…an integer greater than or equal to 0
even…an even integer
odd…an odd integer
prime…a prime integer (probabilistic primality test)
relation…a relation (same as is_a<relational>(...))
relation_equal…a == relation
relation_not_equal…a != relation
relation_less…a < relation
relation_less_or_equal…a <= relation
relation_greater…a > relation
relation_greater_or_equal…a >= relation
symbol…a symbol (same as is_a<symbol>(...))
list…a list (same as is_a<lst>(...))
polynomial…a polynomial (i.e. only consists of sums and products of numbers and symbols with positive integer powers)
integer_polynomial…a polynomial with (non-complex) integer coefficients
cinteger_polynomial…a polynomial with (possibly complex) integer coefficients (such as 2-3*I)
rational_polynomial…a polynomial with (non-complex) rational coefficients
crational_polynomial…a polynomial with (possibly complex) rational coefficients (such as 2/3+7/2*I)
rational_function…a rational function (x+y, z/(x+y))

To determine whether an expression is commutative or non-commutative and if so, with which other expressions it would commutate, you use the methods return_type() and return_type_tinfo(). See Non-commutative objects, for an explanation of these.

5.1.2 Accessing subexpressions

Many GiNaC classes, like add, mul, lst, and function, act as containers for subexpressions. For example, the subexpressions of a sum (an add object) are the individual terms, and the subexpressions of a function are the function’s arguments.

GiNaC provides several ways of accessing subexpressions. The first way is to use the two methods

size_t ex::nops();
ex ex::op(size_t i);

nops() determines the number of subexpressions (operands) contained in the expression, while op(i) returns the i-th (0..nops()-1) subexpression. In the case of a power object, op(0) will return the basis and op(1) the exponent. For indexed objects, op(0) is the base expression and op(i), i>0 are the indices.

The second way to access subexpressions is via the STL-style random-access iterator class const_iterator and the methods

const_iterator ex::begin();
const_iterator ex::end();

begin() returns an iterator referring to the first subexpression; end() returns an iterator which is one-past the last subexpression. If the expression has no subexpressions, then begin() == end(). These iterators can also be used in conjunction with non-modifying STL algorithms.

Here is an example that (non-recursively) prints the subexpressions of a given expression in three different ways:

{
    ex e = ...

    // with nops()/op()
    for (size_t i = 0; i != e.nops(); ++i)
        cout << e.op(i) << endl;

    // with iterators
    for (const_iterator i = e.begin(); i != e.end(); ++i)
        cout << *i << endl;

    // with iterators and STL copy()
    std::copy(e.begin(), e.end(), std::ostream_iterator<ex>(cout, "\n"));
}

op()/nops() and const_iterator only access an expression’s immediate children. GiNaC provides two additional iterator classes, const_preorder_iterator and const_postorder_iterator, that iterate over all objects in an expression tree, in preorder or postorder, respectively. They are STL-style forward iterators, and are created with the methods

const_preorder_iterator ex::preorder_begin();
const_preorder_iterator ex::preorder_end();
const_postorder_iterator ex::postorder_begin();
const_postorder_iterator ex::postorder_end();

The following example illustrates the differences between const_iterator, const_preorder_iterator, and const_postorder_iterator:

{
    symbol A("A"), B("B"), C("C");
    ex e = lst{lst{A, B}, C};

    std::copy(e.begin(), e.end(),
              std::ostream_iterator<ex>(cout, "\n"));
    // {A,B}
    // C

    std::copy(e.preorder_begin(), e.preorder_end(),
              std::ostream_iterator<ex>(cout, "\n"));
    // {{A,B},C}
    // {A,B}
    // A
    // B
    // C

    std::copy(e.postorder_begin(), e.postorder_end(),
              std::ostream_iterator<ex>(cout, "\n"));
    // A
    // B
    // {A,B}
    // C
    // {{A,B},C}
}

Finally, the left-hand side and right-hand side expressions of objects of class relational (and only of these) can also be accessed with the methods

ex ex::lhs();
ex ex::rhs();

5.1.3 Comparing expressions

Expressions can be compared with the usual C++ relational operators like ==, >, and < but if the expressions contain symbols, the result is usually not determinable and the result will be false, except in the case of the != operator. You should also be aware that GiNaC will only do the most trivial test for equality (subtracting both expressions), so something like (pow(x,2)+x)/x==x+1 will return false.

Actually, if you construct an expression like a == b, this will be represented by an object of the relational class (see Relations) which is not evaluated until (explicitly or implicitly) cast to a bool.

There are also two methods

bool ex::is_equal(const ex & other);
bool ex::is_zero();

for checking whether one expression is equal to another, or equal to zero, respectively. See also the method ex::is_zero_matrix(), see Matrices.

5.1.4 Ordering expressions

Sometimes it is necessary to establish a mathematically well-defined ordering on a set of arbitrary expressions, for example to use expressions as keys in a std::map<> container, or to bring a vector of expressions into a canonical order (which is done internally by GiNaC for sums and products).

The operators <, > etc. described in the last section cannot be used for this, as they don’t implement an ordering relation in the mathematical sense. In particular, they are not guaranteed to be antisymmetric: if ‘a’ and ‘b’ are different expressions, and a < b yields false, then b < a doesn’t necessarily yield true.

By default, STL classes and algorithms use the < and == operators to compare objects, which are unsuitable for expressions, but GiNaC provides two functors that can be supplied as proper binary comparison predicates to the STL:

class ex_is_less {
public:
    bool operator()(const ex &lh, const ex &rh) const;
};

class ex_is_equal {
public:
    bool operator()(const ex &lh, const ex &rh) const;
};

For example, to define a map that maps expressions to strings you have to use

std::map<ex, std::string, ex_is_less> myMap;

Omitting the ex_is_less template parameter will introduce spurious bugs because the map operates improperly.

Other examples for the use of the functors:

std::vector<ex> v;
// fill vector
...

// sort vector
std::sort(v.begin(), v.end(), ex_is_less());

// count the number of expressions equal to '1'
unsigned num_ones = std::count_if(v.begin(), v.end(),
                                  [](const ex& e) { return ex_is_equal()(e, 1); });

The implementation of ex_is_less uses the member function

int ex::compare(const ex & other) const;

which returns 0 if *this and other are equal, -1 if *this sorts before other, and 1 if *this sorts after other.


5.2 Numerical evaluation

GiNaC keeps algebraic expressions, numbers and constants in their exact form. To evaluate them using floating-point arithmetic you need to call

ex ex::evalf() const;

The accuracy of the evaluation is controlled by the global object Digits which can be assigned an integer value. The default value of Digits is 17. See Numbers, for more information and examples.

To evaluate an expression to a double floating-point number you can call evalf() followed by numeric::to_double(), like this:

{
    // Approximate sin(x/Pi)
    symbol x("x");
    ex e = series(sin(x/Pi), x == 0, 6);

    // Evaluate numerically at x=0.1
    ex f = evalf(e.subs(x == 0.1));

    // ex_to<numeric> is an unsafe cast, so check the type first
    if (is_a<numeric>(f)) {
        double d = ex_to<numeric>(f).to_double();
        cout << d << endl;
         // -> 0.0318256
    } else
        // error
}

5.3 Substituting expressions

Algebraic objects inside expressions can be replaced with arbitrary expressions via the .subs() method:

ex ex::subs(const ex & e, unsigned options = 0);
ex ex::subs(const exmap & m, unsigned options = 0);
ex ex::subs(const lst & syms, const lst & repls, unsigned options = 0);

In the first form, subs() accepts a relational of the form ‘object == expression’ or a lst of such relationals:

{
    symbol x("x"), y("y");

    ex e1 = 2*x*x-4*x+3;
    cout << "e1(7) = " << e1.subs(x == 7) << endl;
     // -> 73

    ex e2 = x*y + x;
    cout << "e2(-2, 4) = " << e2.subs(lst{x == -2, y == 4}) << endl;
     // -> -10
}

If you specify multiple substitutions, they are performed in parallel, so e.g. subs(lst{x == y, y == x}) exchanges ‘x’ and ‘y’.

The second form of subs() takes an exmap object which is a pair associative container that maps expressions to expressions (currently implemented as a std::map). This is the most efficient one of the three subs() forms and should be used when the number of objects to be substituted is large or unknown.

Using this form, the second example from above would look like this:

{
    symbol x("x"), y("y");
    ex e2 = x*y + x;

    exmap m;
    m[x] = -2;
    m[y] = 4;
    cout << "e2(-2, 4) = " << e2.subs(m) << endl;
}

The third form of subs() takes two lists, one for the objects to be replaced and one for the expressions to be substituted (both lists must contain the same number of elements). Using this form, you would write

{
    symbol x("x"), y("y");
    ex e2 = x*y + x;

    cout << "e2(-2, 4) = " << e2.subs(lst{x, y}, lst{-2, 4}) << endl;
}

The optional last argument to subs() is a combination of subs_options flags. There are three options available: subs_options::no_pattern disables pattern matching, which makes large subs() operations significantly faster if you are not using patterns. The second option, subs_options::algebraic enables algebraic substitutions in products and powers. See Pattern matching and advanced substitutions, for more information about patterns and algebraic substitutions. The third option, subs_options::no_index_renaming disables the feature that dummy indices are renamed if the substitution could give a result in which a dummy index occurs more than two times. This is sometimes necessary if you want to use subs() to rename your dummy indices.

subs() performs syntactic substitution of any complete algebraic object; it does not try to match sub-expressions as is demonstrated by the following example:

{
    symbol x("x"), y("y"), z("z");

    ex e1 = pow(x+y, 2);
    cout << e1.subs(x+y == 4) << endl;
     // -> 16

    ex e2 = sin(x)*sin(y)*cos(x);
    cout << e2.subs(sin(x) == cos(x)) << endl;
     // -> cos(x)^2*sin(y)

    ex e3 = x+y+z;
    cout << e3.subs(x+y == 4) << endl;
     // -> x+y+z
     // (and not 4+z as one might expect)
}

A more powerful form of substitution using wildcards is described in the next section.


5.4 Pattern matching and advanced substitutions

GiNaC allows the use of patterns for checking whether an expression is of a certain form or contains subexpressions of a certain form, and for substituting expressions in a more general way.

A pattern is an algebraic expression that optionally contains wildcards. A wildcard is a special kind of object (of class wildcard) that represents an arbitrary expression. Every wildcard has a label which is an unsigned integer number to allow having multiple different wildcards in a pattern. Wildcards are printed as ‘$label’ (this is also the way they are specified in ginsh). In C++ code, wildcard objects are created with the call

ex wild(unsigned label = 0);

which is simply a wrapper for the wildcard() constructor with a shorter name.

Some examples for patterns:

Constructed asOutput as
wild()$0
pow(x,wild())x^$0
atan2(wild(1),wild(2))atan2($1,$2)
indexed(A,idx(wild(),3))A.$0

Notes:

  • Wildcards behave like symbols and are subject to the same algebraic rules. E.g., ‘$0+2*$0’ is automatically transformed to ‘3*$0’.
  • As shown in the last example, to use wildcards for indices you have to use them as the value of an idx object. This is because indices must always be of class idx (or a subclass).
  • Wildcards only represent expressions or subexpressions. It is not possible to use them as placeholders for other properties like index dimension or variance, representation labels, symmetry of indexed objects etc.
  • Because wildcards are commutative, it is not possible to use wildcards as part of noncommutative products.
  • A pattern does not have to contain wildcards. ‘x’ and ‘x+y’ are also valid patterns.

5.4.1 Matching expressions

The most basic application of patterns is to check whether an expression matches a given pattern. This is done by the function

bool ex::match(const ex & pattern);
bool ex::match(const ex & pattern, exmap& repls);

This function returns true when the expression matches the pattern and false if it doesn’t. If used in the second form, the actual subexpressions matched by the wildcards get returned in the associative array repls with ‘wildcard’ as a key. If match() returns false, repls remains unmodified.

The matching algorithm works as follows:

  • A single wildcard matches any expression. If one wildcard appears multiple times in a pattern, it must match the same expression in all places (e.g. ‘$0’ matches anything, and ‘$0*($0+1)’ matches ‘x*(x+1)’ but not ‘x*(y+1)’).
  • If the expression is not of the same class as the pattern, the match fails (i.e. a sum only matches a sum, a function only matches a function, etc.).
  • If the pattern is a function, it only matches the same function (i.e. ‘sin($0)’ matches ‘sin(x)’ but doesn’t match ‘exp(x)’).
  • Except for sums and products, the match fails if the number of subexpressions (nops()) is not equal to the number of subexpressions of the pattern.
  • If there are no subexpressions, the expressions and the pattern must be equal (in the sense of is_equal()).
  • Except for sums and products, each subexpression (op()) must match the corresponding subexpression of the pattern.

Sums (add) and products (mul) are treated in a special way to account for their commutativity and associativity:

  • If the pattern contains a term or factor that is a single wildcard, this one is used as the global wildcard. If there is more than one such wildcard, one of them is chosen as the global wildcard in a random way.
  • Every term/factor of the pattern, except the global wildcard, is matched against every term of the expression in sequence. If no match is found, the whole match fails. Terms that did match are not considered in further matches.
  • If there are no unmatched terms left, the match succeeds. Otherwise the match fails unless there is a global wildcard in the pattern, in which case this wildcard matches the remaining terms.

In general, having more than one single wildcard as a term of a sum or a factor of a product (such as ‘a+$0+$1’) will lead to unpredictable or ambiguous results.

Here are some examples in ginsh to demonstrate how it works (the match() function in ginsh returns ‘FAIL’ if the match fails, and the list of wildcard replacements otherwise):

> match((x+y)^a,(x+y)^a);
{}
> match((x+y)^a,(x+y)^b);
FAIL
> match((x+y)^a,$1^$2);
{$1==x+y,$2==a}
> match((x+y)^a,$1^$1);
FAIL
> match((x+y)^(x+y),$1^$1);
{$1==x+y}
> match((x+y)^(x+y),$1^$2);
{$1==x+y,$2==x+y}
> match((a+b)*(a+c),($1+b)*($1+c));
{$1==a}
> match((a+b)*(a+c),(a+$1)*(a+$2));
{$1==b,$2==c}
  (Unpredictable. The result might also be [$1==c,$2==b].)
> match((a+b)*(a+c),($1+$2)*($1+$3));
  (The result is undefined. Due to the sequential nature of the algorithm
   and the re-ordering of terms in GiNaC, the match for the first factor
   may be {$1==a,$2==b} in which case the match for the second factor
   succeeds, or it may be {$1==b,$2==a} which causes the second match to
   fail.)
> match(a*(x+y)+a*z+b,a*$1+$2);
  (This is also ambiguous and may return either {$1==z,$2==a*(x+y)+b} or
   {$1=x+y,$2=a*z+b}.)
> match(a+b+c+d+e+f,c);
FAIL
> match(a+b+c+d+e+f,c+$0);
{$0==a+e+b+f+d}
> match(a+b+c+d+e+f,c+e+$0);
{$0==a+b+f+d}
> match(a+b,a+b+$0);
{$0==0}
> match(a*b^2,a^$1*b^$2);
FAIL
  (The matching is syntactic, not algebraic, and "a" doesn't match "a^$1"
   even though a==a^1.)
> match(x*atan2(x,x^2),$0*atan2($0,$0^2));
{$0==x}
> match(atan2(y,x^2),atan2(y,$0));
{$0==x^2}

5.4.2 Matching parts of expressions

A more general way to look for patterns in expressions is provided by the member function

bool ex::has(const ex & pattern);

This function checks whether a pattern is matched by an expression itself or by any of its subexpressions.

Again some examples in ginsh for illustration (in ginsh, has() returns ‘1’ for true and ‘0’ for false):

> has(x*sin(x+y+2*a),y);
1
> has(x*sin(x+y+2*a),x+y);
0
  (This is because in GiNaC, "x+y" is not a subexpression of "x+y+2*a" (which
   has the subexpressions "x", "y" and "2*a".)
> has(x*sin(x+y+2*a),x+y+$1);
1
  (But this is possible.)
> has(x*sin(2*(x+y)+2*a),x+y);
0
  (This fails because "2*(x+y)" automatically gets converted to "2*x+2*y" of
   which "x+y" is not a subexpression.)
> has(x+1,x^$1);
0
  (Although x^1==x and x^0==1, neither "x" nor "1" are actually of the form
   "x^something".)
> has(4*x^2-x+3,$1*x);
1
> has(4*x^2+x+3,$1*x);
0
  (Another possible pitfall. The first expression matches because the term
   "-x" has the form "(-1)*x" in GiNaC. To check whether a polynomial
   contains a linear term you should use the coeff() function instead.)

The method

bool ex::find(const ex & pattern, exset& found);

works a bit like has() but it doesn’t stop upon finding the first match. Instead, it appends all found matches to the specified list. If there are multiple occurrences of the same expression, it is entered only once to the list. find() returns false if no matches were found (in ginsh, it returns an empty list):

> find(1+x+x^2+x^3,x);
{x}
> find(1+x+x^2+x^3,y);
{}
> find(1+x+x^2+x^3,x^$1);
{x^3,x^2}
  (Note the absence of "x".)
> expand((sin(x)+sin(y))*(a+b));
sin(y)*a+sin(x)*b+sin(x)*a+sin(y)*b
> find(%,sin($1));
{sin(y),sin(x)}

5.4.3 Substituting expressions

Probably the most useful application of patterns is to use them for substituting expressions with the subs() method. Wildcards can be used in the search patterns as well as in the replacement expressions, where they get replaced by the expressions matched by them. subs() doesn’t know anything about algebra; it performs purely syntactic substitutions.

Some examples:

> subs(a^2+b^2+(x+y)^2,$1^2==$1^3);
b^3+a^3+(x+y)^3
> subs(a^4+b^4+(x+y)^4,$1^2==$1^3);
b^4+a^4+(x+y)^4
> subs((a+b+c)^2,a+b==x);
(a+b+c)^2
> subs((a+b+c)^2,a+b+$1==x+$1);
(x+c)^2
> subs(a+2*b,a+b==x);
a+2*b
> subs(4*x^3-2*x^2+5*x-1,x==a);
-1+5*a-2*a^2+4*a^3
> subs(4*x^3-2*x^2+5*x-1,x^$0==a^$0);
-1+5*x-2*a^2+4*a^3
> subs(sin(1+sin(x)),sin($1)==cos($1));
cos(1+cos(x))
> expand(subs(a*sin(x+y)^2+a*cos(x+y)^2+b,cos($1)^2==1-sin($1)^2));
a+b

The last example would be written in C++ in this way:

{
    symbol a("a"), b("b"), x("x"), y("y");
    e = a*pow(sin(x+y), 2) + a*pow(cos(x+y), 2) + b;
    e = e.subs(pow(cos(wild()), 2) == 1-pow(sin(wild()), 2));
    cout << e.expand() << endl;
     // -> a+b
}

5.4.4 The option algebraic

Both has() and subs() take an optional argument to pass them extra options. This section describes what happens if you give the former the option has_options::algebraic or the latter subs_options::algebraic. In that case the matching condition for powers and multiplications is changed in such a way that they become more intuitive. Intuition says that x*y is a part of x*y*z. If you use these options you will find that (x*y*z).has(x*y, has_options::algebraic) indeed returns true. Besides matching some of the factors of a product also powers match as often as is possible without getting negative exponents. For example (x^5*y^2*z).subs(x^2*y^2==c, subs_options::algebraic) will return x*c^2*z. This also works with negative powers: (x^(-3)*y^(-2)*z).subs(1/(x*y)==c, subs_options::algebraic) will return x^(-1)*c^2*z.

Please notice: this only works for multiplications and not for locating x+y within x+y+z.


5.5 Applying a function on subexpressions

Sometimes you may want to perform an operation on specific parts of an expression while leaving the general structure of it intact. An example of this would be a matrix trace operation: the trace of a sum is the sum of the traces of the individual terms. That is, the trace should map on the sum, by applying itself to each of the sum’s operands. It is possible to do this manually which usually results in code like this:

ex calc_trace(ex e)
{
    if (is_a<matrix>(e))
        return ex_to<matrix>(e).trace();
    else if (is_a<add>(e)) {
        ex sum = 0;
        for (size_t i=0; i<e.nops(); i++)
            sum += calc_trace(e.op(i));
        return sum;
    } else if (is_a<mul>)(e)) {
        ...
    } else {
        ...
    }
}

This is, however, slightly inefficient (if the sum is very large it can take a long time to add the terms one-by-one), and its applicability is limited to a rather small class of expressions. If calc_trace() is called with a relation or a list as its argument, you will probably want the trace to be taken on both sides of the relation or of all elements of the list.

GiNaC offers the map() method to aid in the implementation of such operations:

ex ex::map(map_function & f) const;
ex ex::map(ex (*f)(const ex & e)) const;

In the first (preferred) form, map() takes a function object that is subclassed from the map_function class. In the second form, it takes a pointer to a function that accepts and returns an expression. map() constructs a new expression of the same type, applying the specified function on all subexpressions (in the sense of op()), non-recursively.

The use of a function object makes it possible to supply more arguments to the function that is being mapped, or to keep local state information. The map_function class declares a virtual function call operator that you can overload. Here is a sample implementation of calc_trace() that uses map() in a recursive fashion:

struct calc_trace : public map_function {
    ex operator()(const ex &e)
    {
        if (is_a<matrix>(e))
            return ex_to<matrix>(e).trace();
        else if (is_a<mul>(e)) {
            ...
        } else
            return e.map(*this);
    }
};

This function object could then be used like this:

{
    ex M = ... // expression with matrices
    calc_trace do_trace;
    ex tr = do_trace(M);
}

Here is another example for you to meditate over. It removes quadratic terms in a variable from an expanded polynomial:

struct map_rem_quad : public map_function {
    ex var;
    map_rem_quad(const ex & var_) : var(var_) {}

    ex operator()(const ex & e)
    {
        if (is_a<add>(e) || is_a<mul>(e))
     	    return e.map(*this);
        else if (is_a<power>(e) && 
                 e.op(0).is_equal(var) && e.op(1).info(info_flags::even))
            return 0;
        else
            return e;
    }
};

...

{
    symbol x("x"), y("y");

    ex e;
    for (int i=0; i<8; i++)
        e += pow(x, i) * pow(y, 8-i) * (i+1);
    cout << e << endl;
     // -> 4*y^5*x^3+5*y^4*x^4+8*y*x^7+7*y^2*x^6+2*y^7*x+6*y^3*x^5+3*y^6*x^2+y^8

    map_rem_quad rem_quad(x);
    cout << rem_quad(e) << endl;
     // -> 4*y^5*x^3+8*y*x^7+2*y^7*x+6*y^3*x^5+y^8
}

ginsh offers a slightly different implementation of map() that allows applying algebraic functions to operands. The second argument to map() is an expression containing the wildcard ‘$0’ which acts as the placeholder for the operands:

> map(a*b,sin($0));
sin(a)*sin(b)
> map(a+2*b,sin($0));
sin(a)+sin(2*b)
> map({a,b,c},$0^2+$0);
{a^2+a,b^2+b,c^2+c}

Note that it is only possible to use algebraic functions in the second argument. You can not use functions like ‘diff()’, ‘op()’, ‘subs()’ etc. because these are evaluated immediately:

> map({a,b,c},diff($0,a));
{0,0,0}
  This is because "diff($0,a)" evaluates to "0", so the command is equivalent
  to "map({a,b,c},0)".

5.6 Visitors and tree traversal

Suppose that you need a function that returns a list of all indices appearing in an arbitrary expression. The indices can have any dimension, and for indices with variance you always want the covariant version returned.

You can’t use get_free_indices() because you also want to include dummy indices in the list, and you can’t use find() as it needs specific index dimensions (and it would require two passes: one for indices with variance, one for plain ones).

The obvious solution to this problem is a tree traversal with a type switch, such as the following:

void gather_indices_helper(const ex & e, lst & l)
{
    if (is_a<varidx>(e)) {
        const varidx & vi = ex_to<varidx>(e);
        l.append(vi.is_covariant() ? vi : vi.toggle_variance());
    } else if (is_a<idx>(e)) {
        l.append(e);
    } else {
        size_t n = e.nops();
        for (size_t i = 0; i < n; ++i)
            gather_indices_helper(e.op(i), l);
    }
}

lst gather_indices(const ex & e)
{
    lst l;
    gather_indices_helper(e, l);
    l.sort();
    l.unique();
    return l;
}

This works fine but fans of object-oriented programming will feel uncomfortable with the type switch. One reason is that there is a possibility for subtle bugs regarding derived classes. If we had, for example, written

    if (is_a<idx>(e)) {
      ...
    } else if (is_a<varidx>(e)) {
      ...

in gather_indices_helper, the code wouldn’t have worked because the first line "absorbs" all classes derived from idx, including varidx, so the special case for varidx would never have been executed.

Also, for a large number of classes, a type switch like the above can get unwieldy and inefficient (it’s a linear search, after all). gather_indices_helper only checks for two classes, but if you had to write a function that required a different implementation for nearly every GiNaC class, the result would be very hard to maintain and extend.

The cleanest approach to the problem would be to add a new virtual function to GiNaC’s class hierarchy. In our example, there would be specializations for idx and varidx while the default implementation in basic performed the tree traversal. Unfortunately, in C++ it’s impossible to add virtual member functions to existing classes without changing their source and recompiling everything. GiNaC comes with source, so you could actually do this, but for a small algorithm like the one presented this would be impractical.

One solution to this dilemma is the Visitor design pattern, which is implemented in GiNaC (actually, Robert Martin’s Acyclic Visitor variation, described in detail in https://condor.depaul.edu/dmumaugh/OOT/Design-Principles/acv.pdf). Instead of adding virtual functions to the class hierarchy to implement operations, GiNaC provides a single "bouncing" method accept() that takes an instance of a special visitor class and redirects execution to the one visit() virtual function of the visitor that matches the type of object that accept() was being invoked on.

Visitors in GiNaC must derive from the global visitor class as well as from the class T::visitor of each class T they want to visit, and implement the member functions void visit(const T &) for each class.

A call of

void ex::accept(visitor & v) const;

will then dispatch to the correct visit() member function of the specified visitor v for the type of GiNaC object at the root of the expression tree (e.g. a symbol, an idx or a mul).

Here is an example of a visitor:

class my_visitor
 : public visitor,          // this is required
   public add::visitor,     // visit add objects
   public numeric::visitor, // visit numeric objects
   public basic::visitor    // visit basic objects
{
    void visit(const add & x)
    { cout << "called with an add object" << endl; }

    void visit(const numeric & x)
    { cout << "called with a numeric object" << endl; }

    void visit(const basic & x)
    { cout << "called with a basic object" << endl; }
};

which can be used as follows:

...
    symbol x("x");
    ex e1 = 42;
    ex e2 = 4*x-3;
    ex e3 = 8*x;

    my_visitor v;
    e1.accept(v);
     // prints "called with a numeric object"
    e2.accept(v);
     // prints "called with an add object"
    e3.accept(v);
     // prints "called with a basic object"
...

The visit(const basic &) method gets called for all objects that are not numeric or add and acts as an (optional) default.

From a conceptual point of view, the visit() methods of the visitor behave like a newly added virtual function of the visited hierarchy. In addition, visitors can store state in member variables, and they can be extended by deriving a new visitor from an existing one, thus building hierarchies of visitors.

We can now rewrite our index example from above with a visitor:

class gather_indices_visitor
 : public visitor, public idx::visitor, public varidx::visitor
{
    lst l;

    void visit(const idx & i)
    {
        l.append(i);
    }

    void visit(const varidx & vi)
    {
        l.append(vi.is_covariant() ? vi : vi.toggle_variance());
    }

public:
    const lst & get_result() // utility function
    {
        l.sort();
        l.unique();
        return l;
    }
};

What’s missing is the tree traversal. We could implement it in visit(const basic &), but GiNaC has predefined methods for this:

void ex::traverse_preorder(visitor & v) const;
void ex::traverse_postorder(visitor & v) const;
void ex::traverse(visitor & v) const;

traverse_preorder() visits a node before visiting its subexpressions, while traverse_postorder() visits a node after visiting its subexpressions. traverse() is a synonym for traverse_preorder().

Here is a new implementation of gather_indices() that uses the visitor and traverse():

lst gather_indices(const ex & e)
{
    gather_indices_visitor v;
    e.traverse(v);
    return v.get_result();
}

Alternatively, you could use pre- or postorder iterators for the tree traversal:

lst gather_indices(const ex & e)
{
    gather_indices_visitor v;
    for (const_preorder_iterator i = e.preorder_begin();
         i != e.preorder_end(); ++i) {
        i->accept(v);
    }
    return v.get_result();
}

5.7 Polynomial arithmetic

5.7.1 Testing whether an expression is a polynomial

Testing whether an expression is a polynomial in one or more variables can be done with the method

bool ex::is_polynomial(const ex & vars) const;

In the case of more than one variable, the variables are given as a list.

(x*y*sin(y)).is_polynomial(x)         // Returns true.
(x*y*sin(y)).is_polynomial(lst{x,y})  // Returns false.

5.7.2 Expanding and collecting

A polynomial in one or more variables has many equivalent representations. Some useful ones serve a specific purpose. Consider for example the trivariate polynomial 4*x*y + x*z + 20*y^2 + 21*y*z + 4*z^2 (written down here in output-style). It is equivalent to the factorized polynomial (x + 5*y + 4*z)*(4*y + z). Other representations are the recursive ones where one collects for exponents in one of the three variable. Since the factors are themselves polynomials in the remaining two variables the procedure can be repeated. In our example, two possibilities would be (4*y + z)*x + 20*y^2 + 21*y*z + 4*z^2 and 20*y^2 + (21*z + 4*x)*y + 4*z^2 + x*z.

To bring an expression into expanded form, its method

ex ex::expand(unsigned options = 0);

may be called. In our example above, this corresponds to 4*x*y + x*z + 20*y^2 + 21*y*z + 4*z^2. Again, since the canonical form in GiNaC is not easy to guess you should be prepared to see different orderings of terms in such sums!

Another useful representation of multivariate polynomials is as a univariate polynomial in one of the variables with the coefficients being polynomials in the remaining variables. The method collect() accomplishes this task:

ex ex::collect(const ex & s, bool distributed = false);

The first argument to collect() can also be a list of objects in which case the result is either a recursively collected polynomial, or a polynomial in a distributed form with terms like c*x1^e1*...*xn^en, as specified by the distributed flag.

Note that the original polynomial needs to be in expanded form (for the variables concerned) in order for collect() to be able to find the coefficients properly.

The following ginsh transcript shows an application of collect() together with find():

> a=expand((sin(x)+sin(y))*(1+p+q)*(1+d));
d*p*sin(x)+p*sin(x)+q*d*sin(x)+q*sin(y)+d*sin(x)+q*d*sin(y)+sin(y)+d*sin(y)
+q*sin(x)+d*sin(y)*p+sin(x)+sin(y)*p
> collect(a,{p,q});
d*sin(x)+(d*sin(x)+sin(y)+d*sin(y)+sin(x))*p
+(d*sin(x)+sin(y)+d*sin(y)+sin(x))*q+sin(y)+d*sin(y)+sin(x)
> collect(a,find(a,sin($1)));
(1+q+d+q*d+d*p+p)*sin(y)+(1+q+d+q*d+d*p+p)*sin(x)
> collect(a,{find(a,sin($1)),p,q});
(1+(1+d)*p+d+q*(1+d))*sin(x)+(1+(1+d)*p+d+q*(1+d))*sin(y)
> collect(a,{find(a,sin($1)),d});
(1+q+d*(1+q+p)+p)*sin(y)+(1+q+d*(1+q+p)+p)*sin(x)

Polynomials can often be brought into a more compact form by collecting common factors from the terms of sums. This is accomplished by the function

ex collect_common_factors(const ex & e);

This function doesn’t perform a full factorization but only looks for factors which are already explicitly present:

> collect_common_factors(a*x+a*y);
(x+y)*a
> collect_common_factors(a*x^2+2*a*x*y+a*y^2);
a*(2*x*y+y^2+x^2)
> collect_common_factors(a*(b*(a+c)*x+b*((a+c)*x+(a+c)*y)*y));
(c+a)*a*(x*y+y^2+x)*b

5.7.3 Degree and coefficients

The degree and low degree of a polynomial in expanded form can be obtained using the two methods

int ex::degree(const ex & s);
int ex::ldegree(const ex & s);

These functions even work on rational functions, returning the asymptotic degree. By definition, the degree of zero is zero. To extract a coefficient with a certain power from an expanded polynomial you use

ex ex::coeff(const ex & s, int n);

You can also obtain the leading and trailing coefficients with the methods

ex ex::lcoeff(const ex & s);
ex ex::tcoeff(const ex & s);

which are equivalent to coeff(s, degree(s)) and coeff(s, ldegree(s)), respectively.

An application is illustrated in the next example, where a multivariate polynomial is analyzed:

{
    symbol x("x"), y("y");
    ex PolyInp = 4*pow(x,3)*y + 5*x*pow(y,2) + 3*y
                 - pow(x+y,2) + 2*pow(y+2,2) - 8;
    ex Poly = PolyInp.expand();
    
    for (int i=Poly.ldegree(x); i<=Poly.degree(x); ++i) {
        cout << "The x^" << i << "-coefficient is "
             << Poly.coeff(x,i) << endl;
    }
    cout << "As polynomial in y: " 
         << Poly.collect(y) << endl;
}

When run, it returns an output in the following fashion:

The x^0-coefficient is y^2+11*y
The x^1-coefficient is 5*y^2-2*y
The x^2-coefficient is -1
The x^3-coefficient is 4*y
As polynomial in y: -x^2+(5*x+1)*y^2+(-2*x+4*x^3+11)*y

As always, the exact output may vary between different versions of GiNaC or even from run to run since the internal canonical ordering is not within the user’s sphere of influence.

degree(), ldegree(), coeff(), lcoeff(), tcoeff() and collect() can also be used to a certain degree with non-polynomial expressions as they not only work with symbols but with constants, functions and indexed objects as well:

{
    symbol a("a"), b("b"), c("c"), x("x");
    idx i(symbol("i"), 3);

    ex e = pow(sin(x) - cos(x), 4);
    cout << e.degree(cos(x)) << endl;
     // -> 4
    cout << e.expand().coeff(sin(x), 3) << endl;
     // -> -4*cos(x)

    e = indexed(a+b, i) * indexed(b+c, i); 
    e = e.expand(expand_options::expand_indexed);
    cout << e.collect(indexed(b, i)) << endl;
     // -> a.i*c.i+(a.i+c.i)*b.i+b.i^2
}

5.7.4 Polynomial division

The two functions

ex quo(const ex & a, const ex & b, const ex & x);
ex rem(const ex & a, const ex & b, const ex & x);

compute the quotient and remainder of univariate polynomials in the variable ‘x’. The results satisfy a = b*quo(a, b, x) + rem(a, b, x).

The additional function

ex prem(const ex & a, const ex & b, const ex & x);

computes the pseudo-remainder of ‘a’ and ‘b’ which satisfies c*a = b*q + prem(a, b, x), where c = b.lcoeff(x) ^ (a.degree(x) - b.degree(x) + 1).

Exact division of multivariate polynomials is performed by the function

bool divide(const ex & a, const ex & b, ex & q);

If ‘b’ divides ‘a’ over the rationals, this function returns true and returns the quotient in the variable q. Otherwise it returns false in which case the value of q is undefined.

5.7.5 Unit, content and primitive part

The methods

ex ex::unit(const ex & x);
ex ex::content(const ex & x);
ex ex::primpart(const ex & x);
ex ex::primpart(const ex & x, const ex & c);

return the unit part, content part, and primitive polynomial of a multivariate polynomial with respect to the variable ‘x’ (the unit part being the sign of the leading coefficient, the content part being the GCD of the coefficients, and the primitive polynomial being the input polynomial divided by the unit and content parts). The second variant of primpart() expects the previously calculated content part of the polynomial in c, which enables it to work faster in the case where the content part has already been computed. The product of unit, content, and primitive part is the original polynomial.

Additionally, the method

void ex::unitcontprim(const ex & x, ex & u, ex & c, ex & p);

computes the unit, content, and primitive parts in one go, returning them in u, c, and p, respectively.

5.7.6 GCD, LCM and resultant

The functions for polynomial greatest common divisor and least common multiple have the synopsis

ex gcd(const ex & a, const ex & b);
ex lcm(const ex & a, const ex & b);

The functions gcd() and lcm() accept two expressions a and b as arguments and return a new expression, their greatest common divisor or least common multiple, respectively. If the polynomials a and b are coprime gcd(a,b) returns 1 and lcm(a,b) returns the product of a and b. Note that all the coefficients must be rationals.

#include <ginac/ginac.h>
using namespace GiNaC;

int main()
{
    symbol x("x"), y("y"), z("z");
    ex P_a = 4*x*y + x*z + 20*pow(y, 2) + 21*y*z + 4*pow(z, 2);
    ex P_b = x*y + 3*x*z + 5*pow(y, 2) + 19*y*z + 12*pow(z, 2);

    ex P_gcd = gcd(P_a, P_b);
    // x + 5*y + 4*z
    ex P_lcm = lcm(P_a, P_b);
    // 4*x*y^2 + 13*y*x*z + 20*y^3 + 81*y^2*z + 67*y*z^2 + 3*x*z^2 + 12*z^3
}

The resultant of two expressions only makes sense with polynomials. It is always computed with respect to a specific symbol within the expressions. The function has the interface

ex resultant(const ex & a, const ex & b, const ex & s);

Resultants are symmetric in a and b. The following example computes the resultant of two expressions with respect to x and y, respectively:

#include <ginac/ginac.h>
using namespace GiNaC;

int main()
{
    symbol x("x"), y("y");

    ex e1 = x+pow(y,2), e2 = 2*pow(x,3)-1; // x+y^2, 2*x^3-1
    ex r;
    
    r = resultant(e1, e2, x); 
    // -> 1+2*y^6
    r = resultant(e1, e2, y); 
    // -> 1-4*x^3+4*x^6
}

5.7.7 Square-free decomposition

Square-free decomposition is available in GiNaC:

ex sqrfree(const ex & a, const lst & l = lst{});

Here is an example that by the way illustrates how the exact form of the result may slightly depend on the order of differentiation, calling for some care with subsequent processing of the result:

    ...
    symbol x("x"), y("y");
    ex BiVarPol = expand(pow(2-2*y,3) * pow(1+x*y,2) * pow(x-2*y,2) * (x+y));

    cout << sqrfree(BiVarPol, lst{x,y}) << endl;
     // -> 8*(1-y)^3*(y*x^2-2*y+x*(1-2*y^2))^2*(y+x)

    cout << sqrfree(BiVarPol, lst{y,x}) << endl;
     // -> 8*(1-y)^3*(-y*x^2+2*y+x*(-1+2*y^2))^2*(y+x)

    cout << sqrfree(BiVarPol) << endl;
     // -> depending on luck, any of the above
    ...

Note also, how factors with the same exponents are not fully factorized with this method.

5.7.8 Square-free partial fraction decomposition

GiNaC also supports square-free partial fraction decomposition of rational functions:

ex sqrfree_parfrac(const ex & a, const symbol & x);

It is called square-free because it assumes a square-free factorization of the input’s denominator:

    ...
    symbol x("x");

    ex rat = (x-4)/(pow(x,2)*(x+2));
    cout << sqrfree_parfrac(rat, x) << endl;
     // -> -2*x^(-2)+3/2*x^(-1)-3/2*(2+x)^(-1)

5.7.9 Polynomial factorization

Polynomials can also be fully factored with a call to the function

ex factor(const ex & a, unsigned int options = 0);

The factorization works for univariate and multivariate polynomials with rational coefficients. The following code snippet shows its capabilities:

    ...
    cout << factor(pow(x,2)-1) << endl;
     // -> (1+x)*(-1+x)
    cout << factor(expand((x-y*z)*(x-pow(y,2)-pow(z,3))*(x+y+z))) << endl;
     // -> (y+z+x)*(y*z-x)*(y^2-x+z^3)
    cout << factor(pow(x,2)-1+sin(pow(x,2)-1)) << endl;
     // -> -1+sin(-1+x^2)+x^2
    ...

The results are as expected except for the last one where no factorization seems to have been done. This is due to the default option factor_options::polynomial (equals zero) to factor(), which tells GiNaC to try a factorization only if the expression is a valid polynomial. In the shown example this is not the case, because one term is a function.

There exists a second option factor_options::all, which tells GiNaC to ignore non-polynomial parts of an expression and also to look inside function arguments. With this option the example gives:

    ...
    cout << factor(pow(x,2)-1+sin(pow(x,2)-1), factor_options::all)
         << endl;
     // -> (-1+x)*(1+x)+sin((-1+x)*(1+x))
    ...

GiNaC’s factorization functions cannot handle algebraic extensions. Therefore the following example does not factor:

    ...
    cout << factor(pow(x,2)-2) << endl;
     // -> -2+x^2  and not  (x-sqrt(2))*(x+sqrt(2))
    ...

Factorization is useful in many applications. A lot of algorithms in computer algebra depend on the ability to factor a polynomial. Of course, factorization can also be used to simplify expressions, but it is costly and applying it to complicated expressions (high degrees or many terms) may consume far too much time. So usually, looking for a GCD at strategic points in a calculation is the cheaper and more appropriate alternative.


5.8 Rational expressions

5.8.1 The normal method

Some basic form of simplification of expressions is called for frequently. GiNaC provides the method .normal(), which converts a rational function into an equivalent rational function of the form ‘numerator/denominator’ where numerator and denominator are coprime. If the input expression is already a fraction, it just finds the GCD of numerator and denominator and cancels it, otherwise it performs fraction addition and multiplication.

.normal() can also be used on expressions which are not rational functions as it will replace all non-rational objects (like functions or non-integer powers) by temporary symbols to bring the expression to the domain of rational functions before performing the normalization, and re-substituting these symbols afterwards. This algorithm is also available as a separate method .to_rational(), described below.

This means that both expressions t1 and t2 are indeed simplified in this little code snippet:

{
    symbol x("x");
    ex t1 = (pow(x,2) + 2*x + 1)/(x + 1);
    ex t2 = (pow(sin(x),2) + 2*sin(x) + 1)/(sin(x) + 1);
    std::cout << "t1 is " << t1.normal() << std::endl;
    std::cout << "t2 is " << t2.normal() << std::endl;
}

Of course this works for multivariate polynomials too, so the ratio of the sample-polynomials from the section about GCD and LCM above would be normalized to P_a/P_b = (4*y+z)/(y+3*z).

5.8.2 Numerator and denominator

The numerator and denominator of an expression can be obtained with

ex ex::numer();
ex ex::denom();
ex ex::numer_denom();

These functions will first normalize the expression as described above and then return the numerator, denominator, or both as a list, respectively. If you need both numerator and denominator, call numer_denom(): it is faster than using numer() and denom() separately. And even more important: a separate evaluation of numer() and denom() may result in a spurious sign, e.g. for $x/(x^2-1)$ numer() may return $x$ and denom() $1-x^2$.

5.8.3 Converting to a polynomial or rational expression

Some of the methods described so far only work on polynomials or rational functions. GiNaC provides a way to extend the domain of these functions to general expressions by using the temporary replacement algorithm described above. You do this by calling

ex ex::to_polynomial(exmap & m);

or

ex ex::to_rational(exmap & m);

on the expression to be converted. The supplied exmap will be filled with the generated temporary symbols and their replacement expressions in a format that can be used directly for the subs() method. It can also already contain a list of replacements from an earlier application of .to_polynomial() or .to_rational(), so it’s possible to use it on multiple expressions and get consistent results.

The difference between .to_polynomial() and .to_rational() is probably best illustrated with an example:

{
    symbol x("x"), y("y");
    ex a = 2*x/sin(x) - y/(3*sin(x));
    cout << a << endl;

    exmap mp;
    ex p = a.to_polynomial(mp);
    cout << " = " << p << "\n   with " << mp << endl;
     // = symbol3*symbol2*y+2*symbol2*x
     //   with {symbol2==sin(x)^(-1),symbol3==-1/3}

    exmap mr;
    ex r = a.to_rational(mr);
    cout << " = " << r << "\n   with " << mr << endl;
     // = -1/3*symbol4^(-1)*y+2*symbol4^(-1)*x
     //   with {symbol4==sin(x)}
}

The following more useful example will print ‘sin(x)-cos(x)’:

{
    symbol x("x");
    ex a = pow(sin(x), 2) - pow(cos(x), 2);
    ex b = sin(x) + cos(x);
    ex q;
    exmap m;
    divide(a.to_polynomial(m), b.to_polynomial(m), q);
    cout << q.subs(m) << endl;
}

5.9 Symbolic differentiation

GiNaC’s objects know how to differentiate themselves. Thus, a polynomial (class add) knows that its derivative is the sum of the derivatives of all the monomials:

{
    symbol x("x"), y("y"), z("z");
    ex P = pow(x, 5) + pow(x, 2) + y;

    cout << P.diff(x,2) << endl;
     // -> 20*x^3 + 2
    cout << P.diff(y) << endl;    // 1
     // -> 1
    cout << P.diff(z) << endl;    // 0
     // -> 0
}

If a second integer parameter n is given, the diff method returns the nth derivative.

If every object and every function is told what its derivative is, all derivatives of composed objects can be calculated using the chain rule and the product rule. Consider, for instance the expression 1/cosh(x). Since the derivative of cosh(x) is sinh(x) and the derivative of pow(x,-1) is -pow(x,-2), GiNaC can readily compute the composition. It turns out that the composition is the generating function for Euler Numbers, i.e. the so called nth Euler number is the coefficient of x^n/n! in the expansion of 1/cosh(x). We may use this identity to code a function that generates Euler numbers in just three lines:

#include <ginac/ginac.h>
using namespace GiNaC;

ex EulerNumber(unsigned n)
{
    symbol x;
    const ex generator = pow(cosh(x),-1);
    return generator.diff(x,n).subs(x==0);
}

int main()
{
    for (unsigned i=0; i<11; i+=2)
        std::cout << EulerNumber(i) << std::endl;
    return 0;
}

When you run it, it produces the sequence 1, -1, 5, -61, 1385, -50521. We increment the loop variable i by two since all odd Euler numbers vanish anyways.


5.10 Series expansion

Expressions know how to expand themselves as a Taylor series or (more generally) a Laurent series. As in most conventional Computer Algebra Systems, no distinction is made between those two. There is a class of its own for storing such series (class pseries) and a built-in function (called Order) for storing the order term of the series. As a consequence, if you want to work with series, i.e. multiply two series, you need to call the method ex::series again to convert it to a series object with the usual structure (expansion plus order term). A sample application from special relativity could read:

#include <ginac/ginac.h>
using namespace std;
using namespace GiNaC;

int main()
{
    symbol v("v"), c("c");
    
    ex gamma = 1/sqrt(1 - pow(v/c,2));
    ex mass_nonrel = gamma.series(v==0, 10);
    
    cout << "the relativistic mass increase with v is " << endl
         << mass_nonrel << endl;
    
    cout << "the inverse square of this series is " << endl
         << pow(mass_nonrel,-2).series(v==0, 10) << endl;
}

Only calling the series method makes the last output simplify to 1-v^2/c^2+O(v^10), without that call we would just have a long series raised to the power -2.

As another instructive application, let us calculate the numerical value of Archimedes’ constant Pi (for which there already exists the built-in constant Pi) using John Machin’s amazing formula Pi==16*atan(1/5)-4*atan(1/239). This equation (and similar ones) were used for over 200 years for computing digits of pi (see Pi Unleashed). We may expand the arcus tangent around 0 and insert the fractions 1/5 and 1/239. However, as we have seen, a series in GiNaC carries an order term with it and the question arises what the system is supposed to do when the fractions are plugged into that order term. The solution is to use the function series_to_poly() to simply strip the order term off:

#include <ginac/ginac.h>
using namespace GiNaC;

ex machin_pi(int degr)
{
    symbol x;
    ex pi_expansion = series_to_poly(atan(x).series(x==0,degr));
    ex pi_approx = 16*pi_expansion.subs(x==numeric(1,5))
                   -4*pi_expansion.subs(x==numeric(1,239));
    return pi_approx;
}

int main()
{
    using std::cout;  // just for fun, another way of...
    using std::endl;  // ...dealing with this namespace std.
    ex pi_frac;
    for (int i=2; i<12; i+=2) {
        pi_frac = machin_pi(i);
        cout << i << ":\t" << pi_frac << endl
             << "\t" << pi_frac.evalf() << endl;
    }
    return 0;
}

Note how we just called .series(x,degr) instead of .series(x==0,degr). This is a simple shortcut for ex’s method series(): if the first argument is a symbol the expression is expanded in that symbol around point 0. When you run this program, it will type out:

2:      3804/1195
        3.1832635983263598326
4:      5359397032/1706489875
        3.1405970293260603143
6:      38279241713339684/12184551018734375
        3.141621029325034425
8:      76528487109180192540976/24359780855939418203125
        3.141591772182177295
10:     327853873402258685803048818236/104359128170408663038552734375
        3.1415926824043995174

5.11 Symmetrization

The three methods

ex ex::symmetrize(const lst & l);
ex ex::antisymmetrize(const lst & l);
ex ex::symmetrize_cyclic(const lst & l);

symmetrize an expression by returning the sum over all symmetric, antisymmetric or cyclic permutations of the specified list of objects, weighted by the number of permutations.

The three additional methods

ex ex::symmetrize();
ex ex::antisymmetrize();
ex ex::symmetrize_cyclic();

symmetrize or antisymmetrize an expression over its free indices.

Symmetrization is most useful with indexed expressions but can be used with almost any kind of object (anything that is subs()able):

{
    idx i(symbol("i"), 3), j(symbol("j"), 3), k(symbol("k"), 3);
    symbol A("A"), B("B"), a("a"), b("b"), c("c");
                                           
    cout << ex(indexed(A, i, j)).symmetrize() << endl;
     // -> 1/2*A.j.i+1/2*A.i.j
    cout << ex(indexed(A, i, j, k)).antisymmetrize(lst{i, j}) << endl;
     // -> -1/2*A.j.i.k+1/2*A.i.j.k
    cout << ex(lst{a, b, c}).symmetrize_cyclic(lst{a, b, c}) << endl;
     // -> 1/3*{a,b,c}+1/3*{b,c,a}+1/3*{c,a,b}
}

5.12 Predefined mathematical functions

5.12.1 Overview

GiNaC contains the following predefined mathematical functions:

NameFunction
abs(x)absolute value
step(x)step function
csgn(x)complex sign
conjugate(x)complex conjugation
real_part(x)real part
imag_part(x)imaginary part
sqrt(x)square root (not a GiNaC function, rather an alias for pow(x, numeric(1, 2)))
sin(x)sine
cos(x)cosine
tan(x)tangent
asin(x)inverse sine
acos(x)inverse cosine
atan(x)inverse tangent
atan2(y, x)inverse tangent with two arguments
sinh(x)hyperbolic sine
cosh(x)hyperbolic cosine
tanh(x)hyperbolic tangent
asinh(x)inverse hyperbolic sine
acosh(x)inverse hyperbolic cosine
atanh(x)inverse hyperbolic tangent
exp(x)exponential function
log(x)natural logarithm
eta(x,y)Eta function: eta(x,y) = log(x*y) - log(x) - log(y)
Li2(x)dilogarithm
Li(m, x)classical polylogarithm as well as multiple polylogarithm
G(a, y)multiple polylogarithm
G(a, s, y)multiple polylogarithm with explicit signs for the imaginary parts
S(n, p, x)Nielsen’s generalized polylogarithm
H(m, x)harmonic polylogarithm
zeta(m)Riemann’s zeta function as well as multiple zeta value
zeta(m, s)alternating Euler sum
zetaderiv(n, x)derivatives of Riemann’s zeta function
Gt(a, y, tau)elliptic multiple polylogarithm
iterated_integral(a, y)iterated integral
iterated_integral(a, y, N)iterated integral with explicit truncation parameter
tgamma(x)gamma function
lgamma(x)logarithm of gamma function
beta(x, y)beta function (tgamma(x)*tgamma(y)/tgamma(x+y))
psi(x)psi (digamma) function
psi(n, x)derivatives of psi function (polygamma functions)
EllipticK(x)complete elliptic integral of the first kind
EllipticE(x)complete elliptic integral of the second kind
factorial(n)factorial function n!
binomial(n, k)binomial coefficients
Order(x)order term function in truncated power series

For functions that have a branch cut in the complex plane, GiNaC follows the conventions of C/C++ for systems that do not support a signed zero. In particular: the natural logarithm (log) and the square root (sqrt) both have their branch cuts running along the negative real axis. The asin, acos, and atanh functions all have two branch cuts starting at +/-1 and running away towards infinity along the real axis. The atan and asinh functions have two branch cuts starting at +/-i and running away towards infinity along the imaginary axis. The acosh function has one branch cut starting at +1 and running towards -infinity. These functions are continuous as the branch cut is approached coming around the finite endpoint of the cut in a counter clockwise direction.

5.12.2 Expanding functions

GiNaC knows several expansion laws for trancedent functions, e.g. exp(a+b)=exp(a) exp(b), |zw|=|z| |w| or log(cd)=log(c)+log(d) (for positive c, d ). In order to use these rules you need to call expand() method with the option expand_options::expand_transcendental. Another relevant option is expand_options::expand_function_args. Their usage and interaction can be seen from the following example:

{
	symbol x("x"),  y("y");
	ex e=exp(pow(x+y,2));
	cout << e.expand() << endl;
	// -> exp((x+y)^2)
	cout << e.expand(expand_options::expand_transcendental) << endl;
	// -> exp((x+y)^2)
	cout << e.expand(expand_options::expand_function_args) << endl;
	// -> exp(2*x*y+x^2+y^2)
	cout << e.expand(expand_options::expand_function_args
			| expand_options::expand_transcendental) << endl;
	// -> exp(y^2)*exp(2*x*y)*exp(x^2)
}

If both flags are set (as in the last call), then GiNaC tries to get the maximal expansion. For example, for the exponent GiNaC firstly expands the argument and then the function. For the logarithm and absolute value, GiNaC uses the opposite order: firstly expands the function and then its argument. Of course, a user can fine-tune this behavior by sequential calls of several expand() methods with desired flags.


5.12.3 Multiple polylogarithms

The multiple polylogarithm is the most generic member of a family of functions, to which others like the harmonic polylogarithm, Nielsen’s generalized polylogarithm and the multiple zeta value belong. Each of these functions can also be written as a multiple polylogarithm with specific parameters. This whole family of functions is therefore often referred to simply as multiple polylogarithms, containing Li, G, H, S and zeta. The multiple polylogarithm itself comes in two variants: Li and G. While Li and G in principle represent the same function, the different notations are more natural to the series representation or the integral representation, respectively.

To facilitate the discussion of these functions we distinguish between indices and arguments as parameters. In the table above indices are printed as m, s, n or p, whereas arguments are printed as x, a and y.

To define a Li, H or zeta with a depth greater than one, you have to pass a GiNaC lst for the indices m and s, and in the case of Li for the argument x as well. The parameter a of G must always be a lst containing the arguments in expanded form. If G is used with a third parameter s, s must have the same length as a. It contains then the signs of the imaginary parts of the arguments. If s is not given, the signs default to +1. Note that Li and zeta are polymorphic in this respect. They can stand in for the classical polylogarithm and Riemann’s zeta function (if depth is one), as well as for the multiple polylogarithm and the multiple zeta value, respectively. Note also, that GiNaC doesn’t check whether the lsts for two parameters do have the same length. It is up to the user to ensure this, otherwise evaluating will result in undefined behavior.

The functions print in LaTeX format as \mbox{Li}_{m_1,m_2,...,m_k}(x_1,x_2,...,x_k), \mbox{S}_{n,p}(x), \mbox{H}_{m_1,m_2,...,m_k}(x) and \zeta(m_1,m_2,...,m_k) (with the dots replaced by actual parameters). If zeta is an alternating zeta sum, i.e. zeta(m,s), the indices with negative sign are printed with a line above, e.g. \zeta(5,\overline{2}). The order of indices and arguments in the GiNaC lsts and in the output is the same.

Definitions and analytical as well as numerical properties of multiple polylogarithms are too numerous to be covered here. Instead, the user is referred to the publications listed at the end of this section. The implementation in GiNaC adheres to the definitions and conventions therein, except for a few differences which will be explicitly stated in the following.

One difference is about the order of the indices and arguments. For GiNaC we adopt the convention that the indices and arguments are understood to be in the same order as in which they appear in the series representation. This means Li_{m_1,m_2,m_3}(x,1,1) = H_{m_1,m_2,m_3}(x) and Li_{2,1}(1,1) = zeta(2,1) = zeta(3), but zeta(1,2) evaluates to infinity. So in comparison to the older ones of the referenced publications the order of indices and arguments for Li is reversed.

The functions only evaluate if the indices are integers greater than zero, except for the indices s in zeta and G as well as m in H. Since s will be interpreted as the sequence of signs for the corresponding indices m or the sign of the imaginary part for the corresponding arguments a, it must contain 1 or -1, e.g. zeta(lst{3,4}, lst{-1,1}) means zeta(\overline{3},4) and G(lst{a,b}, lst{-1,1}, c) means G(a-0\epsilon,b+0\epsilon;c). The definition of H allows indices to be 0, 1 or -1 (in expanded notation) or equally to be any integer (in compact notation). With GiNaC expanded and compact notation can be mixed, e.g. lst{0,0,-1,0,1,0,0}, lst{0,0,-1,2,0,0} and lst{-3,2,0,0} are equivalent as indices. The anonymous evaluator eval() tries to reduce the functions, if possible, to the least-generic multiple polylogarithm. If all arguments are unit, it returns zeta. Arguments equal to zero get considered, too. Riemann’s zeta function zeta (with depth one) evaluates also for negative integers and positive even integers. For example:

> Li({3,1},{x,1});
S(2,2,x)
> H({-3,2},1);
-zeta({3,2},{-1,-1})
> S(3,1,1);
1/90*Pi^4

It is easy to tell for a given function into which other function it can be rewritten, may it be a less-generic or a more-generic one, except for harmonic polylogarithms H with negative indices or trailing zeros (the example above gives a hint). Signs can quickly be messed up, for example. Therefore GiNaC offers a C++ function convert_H_to_Li() to deal with the upgrade of a H to a multiple polylogarithm Li (eval() already cares for the possible downgrade):

> convert_H_to_Li({0,-2,-1,3},x);
Li({3,1,3},{-x,1,-1})
> convert_H_to_Li({2,-1,0},x);
-Li({2,1},{x,-1})*log(x)+2*Li({3,1},{x,-1})+Li({2,2},{x,-1})

Every function can be numerically evaluated for arbitrary real or complex arguments. The precision is arbitrary and can be set through the global variable Digits:

> Digits=100;
100
> evalf(zeta({3,1,3,1}));
0.005229569563530960100930652283899231589890420784634635522547448972148869544...

Note that the convention for arguments on the branch cut in GiNaC as stated above is different from the one Remiddi and Vermaseren have chosen for the harmonic polylogarithm.

If a function evaluates to infinity, no exceptions are raised, but the function is returned unevaluated, e.g. zeta(1). In long expressions this helps a lot with debugging, because you can easily spot the divergencies. But on the other hand, you have to make sure for yourself, that no illegal cancellations of divergencies happen.

Useful publications:

Nested Sums, Expansion of Transcendental Functions and Multi-Scale Multi-Loop Integrals, S.Moch, P.Uwer, S.Weinzierl, hep-ph/0110083

Harmonic Polylogarithms, E.Remiddi, J.A.M.Vermaseren, Int.J.Mod.Phys. A15 (2000), pp. 725-754

Special Values of Multiple Polylogarithms, J.Borwein, D.Bradley, D.Broadhurst, P.Lisonek, Trans.Amer.Math.Soc. 353/3 (2001), pp. 907-941

Numerical Evaluation of Multiple Polylogarithms, J.Vollinga, S.Weinzierl, hep-ph/0410259


5.12.4 Elliptic multiple polylogarithms

A general elliptic multiple polylogarithm Gt((n1,z1),...,(nk,zk);z,tau) is represented in GiNaC as

 Gt({{n1,z1},...,{nk,zk}},z,tau).

The ni should be non-negative integers, while all other arguments may be arbitrary symbolic expressions. For performance reasons, the class Gt is implemented as a derived class of class basic and not as an object of the class function. As a consequence, the methods op, let_op and match, which are available for functions are not supported for Gts. Instead, read-only access to the arguments is provided via the methods getZ, getTau and getArgs.

If all arguments can be directly evaluated to numerical values, a Gt object may be evaluated using the evalf function. When compiled and executed, the following program

#include <iostream>
#include <ginac/ginac.h>
using namespace GiNaC;

int main() {
    ex expr = Gt(lst{lst{2,3-2*I/7},lst{1,-2+I/7}},1+I,2+3*I);
    std::cout << expr << " = " << expr.evalf() << std::endl;

    return 0;
}

prints

 Gt({{2,3-2/7*I},{1,-2+1/7*I}},1+I,2+3*I) 
 = -0.24570758059458382605-7.8354094938915607015*I.

Expressions containing multiple eMPLs can be evaluated using the Gt::ex_evaluate function. This function is usually preferable over evalf, as it applies the algorithm to all eMPLs simultaneously. This enables reusing partial results and allows cancellations of intermediate terms. This function also takes a list of replacement rules as an optional second argument. These replacements are applied to all Gt arguments prior to numeric evaluation, which allows keeping arguments symbolic for as long as possible. The syntax is illustrated in the following example:

symbol z{"z"}, tau{"tau"};
ex expr = Gt(lst{lst{1,numeric(1,6)+I/6}},z,tau)
        + 12*Pi*Gt(lst{lst{1,numeric(5,6)+I/6}},z,tau);
ex replacements = lst{z == numeric(1,3)+I/5, tau == numeric(2,5)+I/3};
std::cout << expr << " = "
          << Gt::ex_evaluate(expr, replacements) << std::endl;

The function Gt::lst_evaluate works similarly, except that its first argument is a list of expressions and it returns a list of numeric values. This allows reusing partial results across the multiple expressions.

For advanced usage, we also provide the functions Gt::ex_zisToFundamental, Gt::ex_regularise, Gt::ex_tauToFundamental and Gt::ex_cutIntegrationPath which perform the individual steps of the algorithm separately, not including possible repetitions of earlier steps. We also provide Gt::ex_prepare, which performs all preparation steps, and Gt::ex_qExpand, which performs the q-expansion on fully prepared eMPLs. All of these functions take an expression as a first argument, optionally a replacement list as a second argument and return a transformed expression.

Usage in ginsh: The syntax for defining eMPLs in ginsh is identical to the one described above. The evaluation is performed using the function Gt_evaluate, which corresponds to both the Gt::ex_evaluate and Gt::lst_evaluate functions. Since functions in ginsh do not have a definite return type, the distinction between Gt::ex_evaluate and Gt::lst_evaluate is not necessary. The function Gt_evaluate always requires a (possibly empty) replacement list as a second argument. Interactive use of the package is illustrated in the following example:

> z = 1+I;
> tau = 2+3*I;
> expr = Gt({{2,z1},{1,z2}},z,tau);
> Gt_evaluate(expr, {z1 == 3-2*I/7, z2 ==-2+I/7});
-0.24570758059458382562-7.835409493891560702*I

Specifying deformations around poles: It may be necessary to specify deformations of the integration contour around poles in the integrand. Deformations can be specified as an optional third argument in the definition of each integration kernel g^(n)(z,tau), i.e., {n,z,Delta}, where Delta = +/- 1. If the locus z becomes singular and the integration contour passes over it, the path is deformed around z, as specified by Delta. A value of Delta = +1 indicates that the path should pass the pole on the right in the direction of integration, i.e., the path is deformed over the point z exp(-i epsilon Delta) for some appropriate value of epsilon > 0. For example, if the integration runs along the positive real axis, a value of Delta = +1 leads to a deformation toward negative imaginary values. This convention is a natural extension of the corresponding convention for ordinary MPLs in GiNaC. If no deformation is specified, the default value Delta = +1 is used.

The complete documentation can be found in the publication:

Elliptic Multiple Polylogarithms in GiNaC, C. Duhr, F. Lorkowski, R. Marzucca, S. Mauch, S. Weinzierl, arXiv:2602.09956


5.12.5 Iterated integrals

Multiple polylogarithms are a particular example of iterated integrals. An iterated integral is defined by the function iterated_integral(a,y). The variable y gives the upper integration limit for the outermost integration, by convention the lower integration limit is always set to zero. The variable a must be a GiNaC lst containing sub-classes of integration_kernel as elements. The depth of the iterated integral corresponds to the number of elements of a. The available integrands for iterated integrals are (for a more detailed description the user is referred to the publications listed at the end of this section)

ClassDescription
integration_kernel()Base class, represents the one-form dy
basic_log_kernel()Logarithmic one-form dy/y
multiple_polylog_kernel(z_j)The one-form dy/(y-z_j)
ELi_kernel(n, m, x, y)The one form ELi_{n;m}(x;y;q) dq/q
Ebar_kernel(n, m, x, y)The one form Ebar_{n;m}(x;y;q) dq/q
Kronecker_dtau_kernel(k, z_j, K, C_k)The one form C_k K (k-1)/(2 pi i)^k g^{(k)}(z_j,K tau) dq/q
Kronecker_dz_kernel(k, z_j, tau, K, C_k)The one form C_k (2 pi i)^{2-k} g^{(k-1)}(z-z_j,K tau) dz
Eisenstein_kernel(k, N, a, b, K, C_k)The one form C_k E_{k,N,a,b,K}(tau) dq/q
Eisenstein_h_kernel(k, N, r, s, C_k)The one form C_k h_{k,N,r,s}(tau) dq/q
modular_form_kernel(k, P, C_k)The one form C_k P dq/q
user_defined_kernel(f, y)The one form f(y) dy

All parameters are assumed to be such that all integration kernels have a convergent Laurent expansion around zero with at most a simple pole at zero. The iterated integral may also be called with an optional third parameter iterated_integral(a,y,N_trunc), in which case the numerical evaluation will truncate the series expansion at order N_trunc.

The classes Eisenstein_kernel(), Eisenstein_h_kernel() and modular_form_kernel() provide a method q_expansion_modular_form(q, order), which can used to obtain the q-expansion of E(k,N,a,b,K;tau), h(k,N,r,s;tau) or P to the specified order.

Useful publications:

Numerical evaluation of iterated integrals related to elliptic Feynman integrals, M.Walden, S.Weinzierl, arXiv:2010.05271


5.13 Complex expressions

For dealing with complex expressions there are the methods

ex ex::conjugate();
ex ex::real_part();
ex ex::imag_part();

that return respectively the complex conjugate, the real part and the imaginary part of an expression. Complex conjugation works as expected for all built-in functions and objects. Taking real and imaginary parts has not yet been implemented for all built-in functions. In cases where it is not known how to conjugate or take a real/imaginary part one of the functions conjugate, real_part or imag_part is returned. For instance, in case of a complex symbol x (symbols are complex by default), one could not simplify conjugate(x). In the case of strings of gamma matrices, the conjugate method takes the Dirac conjugate.

For example,

{
    varidx a(symbol("a"), 4), b(symbol("b"), 4);
    symbol x("x");
    realsymbol y("y");
                                           
    cout << (3*I*x*y + sin(2*Pi*I*y)).conjugate() << endl;
     // -> -3*I*conjugate(x)*y+sin(-2*I*Pi*y)
    cout << (dirac_gamma(a)*dirac_gamma(b)*dirac_gamma5()).conjugate() << endl;
     // -> -gamma5*gamma~b*gamma~a
}

If you declare your own GiNaC functions and you want to conjugate them, you will have to supply a specialized conjugation method for them (see Symbolic functions and the GiNaC source-code for abs as an example). GiNaC does not automatically conjugate user-supplied functions by conjugating their arguments because this would be incorrect on branch cuts. Also, specialized methods can be provided to take real and imaginary parts of user-defined functions.


5.14 Solving linear systems of equations

The function lsolve() provides a convenient wrapper around some matrix operations that comes in handy when a system of linear equations needs to be solved:

ex lsolve(const ex & eqns, const ex & symbols,
          unsigned options = solve_algo::automatic);

Here, eqns is a lst of equalities (i.e. class relational) while symbols is a lst of indeterminates. (See The class hierarchy, for an exposition of class lst).

It returns the lst of solutions as an expression. As an example, let us solve the two equations a*x+b*y==3 and x-y==b:

{
    symbol a("a"), b("b"), x("x"), y("y");
    lst eqns = {a*x+b*y==3, x-y==b};
    lst vars = {x, y};
    cout << lsolve(eqns, vars) << endl;
     // -> {x==(3+b^2)/(b+a),y==(3-b*a)/(b+a)}

When the linear equations eqns are underdetermined, the solution will contain one or more tautological entries like x==x, depending on the rank of the system. When they are overdetermined, the solution will be an empty lst. Note the third optional parameter to lsolve(): it accepts the same parameters as matrix::solve(). This is because lsolve is just a wrapper around that method.


5.15 Input and output of expressions

5.15.1 Expression output

Expressions can simply be written to any stream:

{
    symbol x("x");
    ex e = 4.5*I+pow(x,2)*3/2;
    cout << e << endl;    // prints '4.5*I+3/2*x^2'
    // ...

The default output format is identical to the ginsh input syntax and to that used by most computer algebra systems, but not directly pastable into a GiNaC C++ program (note that in the above example, pow(x,2) is printed as ‘x^2’).

It is possible to print expressions in a number of different formats with a set of stream manipulators;

std::ostream & dflt(std::ostream & os);
std::ostream & latex(std::ostream & os);
std::ostream & tree(std::ostream & os);
std::ostream & csrc(std::ostream & os);
std::ostream & csrc_float(std::ostream & os);
std::ostream & csrc_double(std::ostream & os);
std::ostream & csrc_cl_N(std::ostream & os);
std::ostream & index_dimensions(std::ostream & os);
std::ostream & no_index_dimensions(std::ostream & os);

The tree, latex and csrc formats are also available in ginsh via the print(), print_latex() and print_csrc() functions, respectively.

All manipulators affect the stream state permanently. To reset the output format to the default, use the dflt manipulator:

    // ...
    cout << latex;            // all output to cout will be in LaTeX format from
                              // now on
    cout << e << endl;        // prints '4.5 i+\frac{3}{2} x^{2}'
    cout << sin(x/2) << endl; // prints '\sin(\frac{1}{2} x)'
    cout << dflt;             // revert to default output format
    cout << e << endl;        // prints '4.5*I+3/2*x^2'
    // ...

If you don’t want to affect the format of the stream you’re working with, you can output to a temporary ostringstream like this:

    // ...
    ostringstream s;
    s << latex << e;         // format of cout remains unchanged
    cout << s.str() << endl; // prints '4.5 i+\frac{3}{2} x^{2}'
    // ...

The csrc (an alias for csrc_double), csrc_float, csrc_double and csrc_cl_N manipulators set the output to a format that can be directly used in a C or C++ program. The three possible formats select the data types used for numbers (csrc_cl_N uses the classes provided by the CLN library):

    // ...
    cout << "f = " << csrc_float << e << ";\n";
    cout << "d = " << csrc_double << e << ";\n";
    cout << "n = " << csrc_cl_N << e << ";\n";
    // ...

The above example will produce (note the x^2 being converted to x*x):

f = (3.0/2.0)*(x*x)+std::complex<float>(0.0,4.5000000e+00);
d = (3.0/2.0)*(x*x)+std::complex<double>(0.0,4.5000000000000000e+00);
n = cln::cl_RA("3/2")*(x*x)+cln::complex(cln::cl_I("0"),cln::cl_F("4.5_17"));

The tree manipulator allows dumping the internal structure of an expression for debugging purposes:

    // ...
    cout << tree << e;
}

produces

add, hash=0x0, flags=0x3, nops=2
    power, hash=0x0, flags=0x3, nops=2
        x (symbol), serial=0, hash=0xc8d5bcdd, flags=0xf
        2 (numeric), hash=0x6526b0fa, flags=0xf
    3/2 (numeric), hash=0xf9828fbd, flags=0xf
    -----
    overall_coeff
    4.5L0i (numeric), hash=0xa40a97e0, flags=0xf
    =====

The latex output format is for LaTeX parsing in mathematical mode. It is rather similar to the default format but provides some braces needed by LaTeX for delimiting boxes and also converts some common objects to conventional LaTeX names. It is possible to give symbols a special name for LaTeX output by supplying it as a second argument to the symbol constructor.

For example, the code snippet

{
    symbol x("x", "\\circ");
    ex e = lgamma(x).series(x==0,3);
    cout << latex << e << endl;
}

will print

    {(-\ln(\circ))}+{(-\gamma_E)} \circ+{(\frac{1}{12} \pi^{2})} \circ^{2}
    +\mathcal{O}(\circ^{3})

Index dimensions are normally hidden in the output. To make them visible, use the index_dimensions manipulator. The dimensions will be written in square brackets behind each index value in the default and LaTeX output formats:

{
    symbol x("x"), y("y");
    varidx mu(symbol("mu"), 4), nu(symbol("nu"), 4);
    ex e = indexed(x, mu) * indexed(y, nu);

    cout << e << endl;
     // prints 'x~mu*y~nu'
    cout << index_dimensions << e << endl;
     // prints 'x~mu[4]*y~nu[4]'
    cout << no_index_dimensions << e << endl;
     // prints 'x~mu*y~nu'
}

If you need any fancy special output format, e.g. for interfacing GiNaC with other algebra systems or for producing code for different programming languages, you can always traverse the expression tree yourself:

static void my_print(const ex & e)
{
    if (is_a<GiNaC::function>(e))
        cout << ex_to<GiNaC::function>(e).get_name();
    else
        cout << ex_to<basic>(e).class_name();
    cout << "(";
    size_t n = e.nops();
    if (n)
        for (size_t i=0; i<n; i++) {
            my_print(e.op(i));
            if (i != n-1)
                cout << ",";
        }
    else
        cout << e;
    cout << ")";
}

int main()
{
    symbol x("x"), y("y");
    my_print(pow(3, x) - 2 * sin(y / Pi));
    cout << endl;
    return 0;
}

(Note that we have added the namespace resolution to the GiNaC::function class to avoid modern compilers’ confusion with std::function.)

This will produce

add(power(numeric(3),symbol(x)),mul(sin(mul(power(constant(Pi),numeric(-1)),
symbol(y))),numeric(-2)))

If you need an output format that makes it possible to accurately reconstruct an expression by feeding the output to a suitable parser or object factory, you should consider storing the expression in an archive object and reading the object properties from there. See the section on archiving for more information.

5.15.2 Expression input

GiNaC provides no way to directly read an expression from a stream because you will usually want the user to be able to enter something like ‘2*x+sin(y)’ and have the ‘x’ and ‘y’ correspond to the symbols x and y you defined in your program and there is no way to specify the desired symbols to the >> stream input operator.

Instead, GiNaC lets you read an expression from a stream or a string, specifying the mapping between the input strings and symbols to be used:

{
    symbol x, y;
    symtab table;
    table["x"] = x;
    table["y"] = y;
    parser reader(table);
    ex e = reader("2*x+sin(y)");
}

The input syntax is the same as that used by ginsh and the stream output operator <<. Matching between the input strings and expressions is given by ‘table’. The ‘table’ in this example instructs GiNaC to substitute any input substring “x” with symbol x. Likewise, the substring “y” will be replaced with symbol y. It’s also possible to map input (sub)strings to arbitrary expressions:

{
    symbol x, y;
    symtab table;
    table["x"] = x+log(y)+1;
    parser reader(table);
    ex e = reader("5*x^3 - x^2");
    // e = 5*(x+log(y)+1)^3 - (x+log(y)+1)^2
}

If no mapping is specified for a particular string GiNaC will create a symbol with corresponding name. Later on you can obtain all parser generated symbols with get_syms() method:

{
    parser reader;
    ex e = reader("2*x+sin(y)");
    symtab table = reader.get_syms();
    symbol x = ex_to<symbol>(table["x"]);
    symbol y = ex_to<symbol>(table["y"]);
}

Sometimes you might want to prevent GiNaC from inserting these extra symbols (for example, you want treat an unexpected string in the input as an error).

{
	symtab table;
	table["x"] = symbol();
	parser reader(table);
	parser.strict = true;
	ex e;
	try {
		e = reader("2*x+sin(y)");
	} catch (parse_error& err) {
		cerr << err.what() << endl;
		// prints "unknown symbol "y" in the input"
	}
}

With this parser, it’s also easy to implement interactive GiNaC programs. When running the following program interactively, remember to send an EOF marker after the input, e.g. by pressing Ctrl-D on an empty line:

#include <iostream>
#include <string>
#include <stdexcept>
#include <ginac/ginac.h>
using namespace std;
using namespace GiNaC;

int main()
{
	cout << "Enter an expression containing 'x': " << flush;
	parser reader;

	try {
		ex e = reader(cin);
		symtab table = reader.get_syms();
		symbol x = table.find("x") != table.end() ? 
			   ex_to<symbol>(table["x"]) : symbol("x");
		cout << "The derivative of " << e << " with respect to x is ";
		cout << e.diff(x) << "." << endl;
	} catch (exception &p) {
		cerr << p.what() << endl;
	}
}

5.15.3 Compiling expressions to C function pointers

Numerical evaluation of algebraic expressions is seamlessly integrated into GiNaC by help of the CLN library. While CLN allows for very fast arbitrary precision numerics, which is more than sufficient for most users, sometimes only the speed of built-in floating point numbers is fast enough, e.g. for Monte Carlo integration. The only viable option then is the following: print the expression in C syntax format, manually add necessary C code, compile that program and run is as a separate application. This is not only cumbersome and involves a lot of manual intervention, but it also separates the algebraic and the numerical evaluation into different execution stages.

GiNaC offers a couple of functions that help to avoid these inconveniences and problems. The functions automatically perform the printing of a GiNaC expression and the subsequent compiling of its associated C code. The created object code is then dynamically linked to the currently running program. A function pointer to the C function that performs the numerical evaluation is returned and can be used instantly. This all happens automatically, no user intervention is needed.

The following example demonstrates the use of compile_ex:

    // ...
    symbol x("x");
    ex myexpr = sin(x) / x;

    FUNCP_1P fp;
    compile_ex(myexpr, x, fp);

    cout << fp(3.2) << endl;
    // ...

The function compile_ex is called with the expression to be compiled and its only free variable x. Upon successful completion the third parameter contains a valid function pointer to the corresponding C code module. If called like in the last line only built-in double precision numerics is involved.

The function pointer has to be defined in advance. GiNaC offers three function pointer types at the moment:

    typedef double (*FUNCP_1P) (double);
    typedef double (*FUNCP_2P) (double, double);
    typedef void (*FUNCP_CUBA) (const int*, const double[], const int*, double[]);

FUNCP_2P allows for two variables in the expression. FUNCP_CUBA is the correct type to be used with the CUBA library (http://www.feynarts.de/cuba) for numerical integrations. The details for the parameters of FUNCP_CUBA are explained in the CUBA manual.

For every function pointer type there is a matching compile_ex available:

    void compile_ex(const ex& expr, const symbol& sym, FUNCP_1P& fp,
                    const std::string filename = "");
    void compile_ex(const ex& expr, const symbol& sym1, const symbol& sym2,
                    FUNCP_2P& fp, const std::string filename = "");
    void compile_ex(const lst& exprs, const lst& syms, FUNCP_CUBA& fp,
                    const std::string filename = "");

When the last parameter filename is not supplied, compile_ex will choose a unique random name for the intermediate source and object files it produces. On program termination these files will be deleted. If one wishes to keep the C code and the object files, one can supply the filename parameter. The intermediate files will use that filename and will not be deleted.

link_ex is a function that allows to dynamically link an existing object file and to make it available via a function pointer. This is useful if you have already used compile_ex on an expression and want to avoid the compilation step to be performed over and over again when you restart your program. The precondition for this is of course, that you have chosen a filename when you did call compile_ex. For every above mentioned function pointer type there exists a corresponding link_ex function:

    void link_ex(const std::string filename, FUNCP_1P& fp);
    void link_ex(const std::string filename, FUNCP_2P& fp);
    void link_ex(const std::string filename, FUNCP_CUBA& fp);

The complete filename (including the suffix .so) of the object file has to be supplied.

The function

    void unlink_ex(const std::string filename);

is supplied for the rare cases when one wishes to close the dynamically linked object files directly and have the intermediate files (only if filename has not been given) deleted. Normally one doesn’t need this function, because all the clean-up will be done automatically upon (regular) program termination.

All the described functions will throw an exception in case they cannot perform correctly, like for example when writing the file or starting the compiler fails. Since internally the same printing methods as described in section csrc printing are used, only functions and objects that are available in standard C will compile successfully (that excludes polylogarithms for example at the moment). Another precondition for success is, of course, that it must be possible to evaluate the expression numerically. No free variables despite the ones supplied to compile_ex should appear in the expression.

compile_ex uses the shell script ginac-excompiler to start the C compiler and produce the object files. This shell script comes with GiNaC and will be installed together with GiNaC in the configured $LIBEXECDIR (typically $PREFIX/libexec or $PREFIX/lib/ginac). You can also export additional compiler flags via the $CXXFLAGS variable:

setenv("CXXFLAGS", "-O3 -fomit-frame-pointer", 1);
compile_ex(...);

5.15.4 Archiving

GiNaC allows creating archives of expressions which can be stored to or retrieved from files. To create an archive, you declare an object of class archive and archive expressions in it, giving each expression a unique name:

#include <fstream>
#include <ginac/ginac.h>
using namespace std;
using namespace GiNaC;

int main()
{
    symbol x("x"), y("y"), z("z");

    ex foo = sin(x + 2*y) + 3*z + 41;
    ex bar = foo + 1;

    archive a;
    a.archive_ex(foo, "foo");
    a.archive_ex(bar, "the second one");
    // ...

The archive can then be written to a file:

    // ...
    ofstream out("foobar.gar", ios::binary);
    out << a;
    out.close();
    // ...

The file foobar.gar contains all information that is needed to reconstruct the expressions foo and bar. The flag ios::binary prevents locales setting of your OS tampers the archive file structure.

The tool viewgar that comes with GiNaC can be used to view the contents of GiNaC archive files:

$ viewgar foobar.gar
foo = 41+sin(x+2*y)+3*z
the second one = 42+sin(x+2*y)+3*z

The point of writing archive files is of course that they can later be read in again:

    // ...
    archive a2;
    ifstream in("foobar.gar", ios::binary);
    in >> a2;
    // ...

And the stored expressions can be retrieved by their name:

    // ...
    lst syms = {x, y};

    ex ex1 = a2.unarchive_ex(syms, "foo");
    ex ex2 = a2.unarchive_ex(syms, "the second one");

    cout << ex1 << endl;              // prints "41+sin(x+2*y)+3*z"
    cout << ex2 << endl;              // prints "42+sin(x+2*y)+3*z"
    cout << ex1.subs(x == 2) << endl; // prints "41+sin(2+2*y)+3*z"
}

Note that you have to supply a list of the symbols which are to be inserted in the expressions. Symbols in archives are stored by their name only and if you don’t specify which symbols you have, unarchiving the expression will create new symbols with that name. E.g. if you hadn’t included x in the syms list above, the ex1.subs(x == 2) statement would have had no effect because the x in ex1 would have been a different symbol than the x which was defined at the beginning of the program, although both would appear as ‘x’ when printed.

You can also use the information stored in an archive object to output expressions in a format suitable for exact reconstruction. The archive and archive_node classes have a couple of member functions that let you access the stored properties:

static void my_print2(const archive_node & n)
{
    string class_name;
    n.find_string("class", class_name);
    cout << class_name << "(";

    archive_node::propinfovector p;
    n.get_properties(p);

    size_t num = p.size();
    for (size_t i=0; i<num; i++) {
        const string &name = p[i].name;
        if (name == "class")
            continue;
        cout << name << "=";

        unsigned count = p[i].count;
        if (count > 1)
            cout << "{";

        for (unsigned j=0; j<count; j++) {
            switch (p[i].type) {
                case archive_node::PTYPE_BOOL: {
                    bool x;
                    n.find_bool(name, x, j);
                    cout << (x ? "true" : "false");
                    break;
                }
                case archive_node::PTYPE_UNSIGNED: {
                    unsigned x;
                    n.find_unsigned(name, x, j);
                    cout << x;
                    break;
                }
                case archive_node::PTYPE_STRING: {
                    string x;
                    n.find_string(name, x, j);
                    cout << '\"' << x << '\"';
                    break;
                }
                case archive_node::PTYPE_NODE: {
                    const archive_node &x = n.find_ex_node(name, j);
                    my_print2(x);
                    break;
                }
            }

            if (j != count-1)
                cout << ",";
        }

        if (count > 1)
            cout << "}";

        if (i != num-1)
            cout << ",";
    }

    cout << ")";
}

int main()
{
    ex e = pow(2, x) - y;
    archive ar(e, "e");
    my_print2(ar.get_top_node(0)); cout << endl;
    return 0;
}

This will produce:

add(rest={power(basis=numeric(number="2"),exponent=symbol(name="x")),
symbol(name="y")},coeff={numeric(number="1"),numeric(number="-1")},
overall_coeff=numeric(number="0"))

Be warned, however, that the set of properties and their meaning for each class may change between GiNaC versions.


6 Extending GiNaC

By reading so far you should have gotten a fairly good understanding of GiNaC’s design patterns. From here on you should start reading the sources. All we can do now is issue some recommendations how to tackle GiNaC’s many loose ends in order to fulfill everybody’s dreams. If you develop some useful extension please don’t hesitate to contact the GiNaC authors—they will happily incorporate them into future versions.


6.1 What doesn’t belong into GiNaC

First of all, GiNaC’s name must be read literally. It is designed to be a library for use within C++. The tiny ginsh accompanying GiNaC makes this even more clear: it doesn’t even attempt to provide a language. There are no loops or conditional expressions in ginsh, it is merely a window into the library for the programmer to test stuff (or to show off). Still, the design of a complete CAS with a language of its own, graphical capabilities and all this on top of GiNaC is possible and is without doubt a nice project for the future.

There are many built-in functions in GiNaC that do not know how to evaluate themselves numerically to a precision declared at runtime (using Digits). Some may be evaluated at certain points, but not generally. This ought to be fixed. However, doing numerical computations with GiNaC’s quite abstract classes is doomed to be inefficient. For this purpose, the underlying foundation classes provided by CLN are much better suited.


6.2 Symbolic functions

The easiest and most instructive way to start extending GiNaC is probably to create your own symbolic functions. These are implemented with the help of two preprocessor macros:

DECLARE_FUNCTION_<n>P(<name>)
REGISTER_FUNCTION(<name>, <options>)

The DECLARE_FUNCTION macro will usually appear in a header file. It declares a C++ function with the given ‘name’ that takes exactly ‘n’ parameters of type ex and returns a newly constructed GiNaC function object that represents your function.

The REGISTER_FUNCTION macro implements the function. It must be passed the same ‘name’ as the respective DECLARE_FUNCTION macro, and a set of options that associate the symbolic function with C++ functions you provide to implement the various methods such as evaluation, derivative, series expansion etc. They also describe additional attributes the function might have, such as symmetry and commutation properties, and a name for LaTeX output. Multiple options are separated by the member access operator ‘.’ and can be given in an arbitrary order.

(By the way: in case you are worrying about all the macros above we can assure you that functions are GiNaC’s most macro-intense classes. We have done our best to avoid macros where we can.)

6.2.1 A minimal example

Here is an example for the implementation of a function with two arguments that is not further evaluated:

DECLARE_FUNCTION_2P(myfcn)

REGISTER_FUNCTION(myfcn, dummy())

Any code that has seen the DECLARE_FUNCTION line can use myfcn() in algebraic expressions:

{
    ...
    symbol x("x");
    ex e = 2*myfcn(42, 1+3*x) - x;
    cout << e << endl;
     // prints '2*myfcn(42,1+3*x)-x'
    ...
}

The dummy() option in the REGISTER_FUNCTION line signifies "no options". A function with no options specified merely acts as a kind of container for its arguments. It is a pure "dummy" function with no associated logic (which is, however, sometimes perfectly sufficient).

Let’s now have a look at the implementation of GiNaC’s cosine function for an example of how to make an "intelligent" function.

6.2.2 The cosine function

The GiNaC header file inifcns.h contains the line

DECLARE_FUNCTION_1P(cos)

which declares to all programs using GiNaC that there is a function ‘cos’ that takes one ex as an argument. This is all they need to know to use this function in expressions.

The implementation of the cosine function is in inifcns_trans.cpp. Here is its REGISTER_FUNCTION line:

REGISTER_FUNCTION(cos, eval_func(cos_eval).
                       evalf_func(cos_evalf).
                       derivative_func(cos_deriv).
                       latex_name("\\cos"));

There are four options defined for the cosine function. One of them (latex_name) gives the function a proper name for LaTeX output; the other three indicate the C++ functions in which the "brains" of the cosine function are defined.

The eval_func() option specifies the C++ function that implements the eval() method, GiNaC’s anonymous evaluator. This function takes the same number of arguments as the associated symbolic function (one in this case) and returns the (possibly transformed or in some way simplified) symbolically evaluated function (See Automatic evaluation and canonicalization of expressions, for a description of the automatic evaluation process). If no (further) evaluation is to take place, the eval_func() function must return the original function with .hold(), to avoid a potential infinite recursion. If your symbolic functions produce a segmentation fault or stack overflow when using them in expressions, you are probably missing a .hold() somewhere.

The eval_func() function for the cosine looks something like this (actually, it doesn’t look like this at all, but it should give you an idea what is going on):

static ex cos_eval(const ex & x)
{
    if ("x is a multiple of 2*Pi")
        return 1;
    else if ("x is a multiple of Pi")
        return -1;
    else if ("x is a multiple of Pi/2")
        return 0;
    // more rules...

    else if ("x has the form 'acos(y)'")
        return y;
    else if ("x has the form 'asin(y)'")
        return sqrt(1-y^2);
    // more rules...

    else
        return cos(x).hold();
}

This function is called every time the cosine is used in a symbolic expression:

{
    ...
    e = cos(Pi);
     // this calls cos_eval(Pi), and inserts its return value into
     // the actual expression
    cout << e << endl;
     // prints '-1'
    ...
}

In this way, cos(4*Pi) automatically becomes 1, cos(asin(a+b)) becomes sqrt(1-(a+b)^2), etc. If no reasonable symbolic transformation can be done, the unmodified function is returned with .hold().

GiNaC doesn’t automatically transform cos(2) to ‘-0.416146...’. The user has to call evalf() for that. This is implemented in a different function:

static ex cos_evalf(const ex & x)
{
    if (is_a<numeric>(x))
        return cos(ex_to<numeric>(x));
    else
        return cos(x).hold();
}

Since we are lazy we defer the problem of numeric evaluation to somebody else, in this case the cos() function for numeric objects, which in turn hands it over to the cos() function in CLN. The .hold() isn’t really needed here, but reminds us that the corresponding eval() function would require it in this place.

Differentiation will surely turn up and so we need to tell cos what its first derivative is (higher derivatives, .diff(x,3) for instance, are then handled automatically by basic::diff and ex::diff):

static ex cos_deriv(const ex & x, unsigned diff_param)
{
    return -sin(x);
}

The second parameter is obligatory but uninteresting at this point. It specifies which parameter to differentiate in a partial derivative in case the function has more than one parameter, and its main application is for correct handling of the chain rule.

Derivatives of some functions, for example abs() and Order(), could not be evaluated through the chain rule. In such cases the full derivative may be specified as shown for Order():

static ex Order_expl_derivative(const ex & arg, const symbol & s)
{
	return Order(arg.diff(s));
}

That is, we need to supply a procedure, which returns the expression of derivative with respect to the variable s for the argument arg. This procedure need to be registered with the function through the option expl_derivative_func (see the next Subsection). In contrast, a partial derivative, e.g. as was defined for cos() above, needs to be registered through the option derivative_func.

An implementation of the series expansion is not needed for cos() as it doesn’t have any poles and GiNaC can do Taylor expansion by itself (as long as it knows what the derivative of cos() is). tan(), on the other hand, does have poles and may need to do Laurent expansion:

static ex tan_series(const ex & x, const relational & rel,
                     int order, unsigned options)
{
    // Find the actual expansion point
    const ex x_pt = x.subs(rel);

    if ("x_pt is not an odd multiple of Pi/2")
        throw do_taylor();  // tell function::series() to do Taylor expansion

    // On a pole, expand sin()/cos()
    return (sin(x)/cos(x)).series(rel, order+2, options);
}

The series() implementation of a function must return a pseries object, otherwise your code will crash.

6.2.3 Function options

GiNaC functions understand several more options which are always specified as .option(params). None of them are required, but you need to specify at least one option to REGISTER_FUNCTION(). There is a do-nothing option called dummy() which you can use to define functions without any special options.

eval_func(<C++ function>)
evalf_func(<C++ function>)
derivative_func(<C++ function>)
expl_derivative_func(<C++ function>)
series_func(<C++ function>)
conjugate_func(<C++ function>)

These specify the C++ functions that implement symbolic evaluation, numeric evaluation, partial derivatives, explicit derivative, and series expansion, respectively. They correspond to the GiNaC methods eval(), evalf(), diff() and series().

The eval_func() function needs to use .hold() if no further automatic evaluation is desired or possible.

If no series_func() is given, GiNaC defaults to simple Taylor expansion, which is correct if there are no poles involved. If the function has poles in the complex plane, the series_func() needs to check whether the expansion point is on a pole and fall back to Taylor expansion if it isn’t. Otherwise, the pole usually needs to be regularized by some suitable transformation.

latex_name(const string & n)

specifies the LaTeX code that represents the name of the function in LaTeX output. The default is to put the function name in an \mbox{}.

do_not_evalf_params()

This tells evalf() to not recursively evaluate the parameters of the function before calling the evalf_func().

set_return_type(unsigned return_type, const return_type_t * return_type_tinfo)

This allows you to explicitly specify the commutation properties of the function (See Non-commutative objects, for an explanation of (non)commutativity in GiNaC). For example, with an object of type return_type_t created like

return_type_t my_type = make_return_type_t<matrix>();

you can use set_return_type(return_types::noncommutative, &my_type) to make GiNaC treat your function like a matrix. By default, functions inherit the commutation properties of their first argument. The utilized template function make_return_type_t<>()

template<typename T> inline return_type_t make_return_type_t(const unsigned rl = 0)

can also be called with an argument specifying the representation label of the non-commutative function (see section on dirac gamma matrices for more details).

set_symmetry(const symmetry & s)

specifies the symmetry properties of the function with respect to its arguments. See Indexed objects, for an explanation of symmetry specifications. GiNaC will automatically rearrange the arguments of symmetric functions into a canonical order.

Sometimes you may want to have finer control over how functions are displayed in the output. For example, the abs() function prints itself as ‘abs(x)’ in the default output format, but as ‘|x|’ in LaTeX mode, and fabs(x) in C source output. This is achieved with the

print_func<C>(<C++ function>)

option which is explained in the next section.

6.2.4 Functions with a variable number of arguments

The DECLARE_FUNCTION and REGISTER_FUNCTION macros define functions with a fixed number of arguments. Sometimes, though, you may need to have a function that accepts a variable number of expressions. One way to accomplish this is to pass variable-length lists as arguments. The Li() function uses this method for multiple polylogarithms.

It is also possible to define functions that accept a different number of parameters under the same function name, such as the psi() function which can be called either as psi(z) (the digamma function) or as psi(n, z) (polygamma functions). These are actually two different functions in GiNaC that, however, have the same name. Defining such functions is not possible with the macros but requires manually fiddling with GiNaC internals. If you are interested, please consult the GiNaC source code for the psi() function (inifcns.h and inifcns_gamma.cpp).


6.3 GiNaC’s expression output system

GiNaC allows the output of expressions in a variety of different formats (see Input and output of expressions). This section will explain how expression output is implemented internally, and how to define your own output formats or change the output format of built-in algebraic objects. You will also want to read this section if you plan to write your own algebraic classes or functions.

All the different output formats are represented by a hierarchy of classes rooted in the print_context class, defined in the print.h header file:

print_dflt

the default output format

print_latex

output in LaTeX mathematical mode

print_tree

a dump of the internal expression structure (for debugging)

print_csrc

the base class for C source output

print_csrc_float

C source output using the float type

print_csrc_double

C source output using the double type

print_csrc_cl_N

C source output using CLN types

The print_context base class provides two public data members:

class print_context
{
    ...
public:
    std::ostream & s;
    unsigned options;
};

s is a reference to the stream to output to, while options holds flags and modifiers. Currently, there is only one flag defined: print_options::print_index_dimensions instructs the idx class to print the index dimension which is normally hidden.

When you write something like std::cout << e, where e is an object of class ex, GiNaC will construct an appropriate print_context object (of a class depending on the selected output format), fill in the s and options members, and call

void ex::print(const print_context & c, unsigned level = 0) const;

which in turn forwards the call to the print() method of the top-level algebraic object contained in the expression.

Unlike other methods, GiNaC classes don’t usually override their print() method to implement expression output. Instead, the default implementation basic::print(c, level) performs a run-time double dispatch to a function selected by the dynamic type of the object and the passed print_context. To this end, GiNaC maintains a separate method table for each class, similar to the virtual function table used for ordinary (single) virtual function dispatch.

The method table contains one slot for each possible print_context type, indexed by the (internally assigned) serial number of the type. Slots may be empty, in which case GiNaC will retry the method lookup with the print_context object’s parent class, possibly repeating the process until it reaches the print_context base class. If there’s still no method defined, the method table of the algebraic object’s parent class is consulted, and so on, until a matching method is found (eventually it will reach the combination basic/print_context, which prints the object’s class name enclosed in square brackets).

You can think of the print methods of all the different classes and output formats as being arranged in a two-dimensional matrix with one axis listing the algebraic classes and the other axis listing the print_context classes.

Subclasses of basic can, of course, also overload basic::print() to implement printing, but then they won’t get any of the benefits of the double dispatch mechanism (such as the ability for derived classes to inherit only certain print methods from its parent, or the replacement of methods at run-time).

6.3.3 Adding new output formats

Creating a new output format involves subclassing print_context, which is somewhat similar to adding a new algebraic class (see Adding classes). There is a macro GINAC_DECLARE_PRINT_CONTEXT that needs to go into the class definition, and a corresponding macro GINAC_IMPLEMENT_PRINT_CONTEXT that has to appear at global scope. Every print_context class needs to provide a default constructor and a constructor from an std::ostream and an unsigned options value.

Here is an example for a user-defined print_context class:

class print_myformat : public print_dflt
{
    GINAC_DECLARE_PRINT_CONTEXT(print_myformat, print_dflt)
public:
    print_myformat(std::ostream & os, unsigned opt = 0)
     : print_dflt(os, opt) {}
};

print_myformat::print_myformat() : print_dflt(std::cout) {}

GINAC_IMPLEMENT_PRINT_CONTEXT(print_myformat, print_dflt)

That’s all there is to it. None of the actual expression output logic is implemented in this class. It merely serves as a selector for choosing a particular format. The algorithms for printing expressions in the new format are implemented as print methods, as described above.

print_myformat is a subclass of print_dflt, so it behaves exactly like GiNaC’s default output format:

{
    symbol x("x");
    ex e = pow(x, 2) + 1;

    // this prints "1+x^2"
    cout << e << endl;
    
    // this also prints "1+x^2"
    e.print(print_myformat()); cout << endl;

    ...
}

To fill print_myformat with life, we need to supply appropriate print methods with set_print_func(), like this:

// This prints powers with '**' instead of '^'. See the LaTeX output
// example above for explanations.
void print_power_as_myformat(const power & p,
                             const print_myformat & c,
                             unsigned level)
{
    unsigned power_prec = p.precedence();
    if (level >= power_prec)
        c.s << '(';
    p.op(0).print(c, power_prec);
    c.s << "**";
    p.op(1).print(c, power_prec);
    if (level >= power_prec)
        c.s << ')';
}

{
    ...
    // install a new print method for power objects
    set_print_func<power, print_myformat>(print_power_as_myformat);

    // now this prints "1+x**2"
    e.print(print_myformat()); cout << endl;

    // but the default format is still "1+x^2"
    cout << e << endl;
}

6.4 Structures

If you are doing some very specialized things with GiNaC, or if you just need some more organized way to store data in your expressions instead of anonymous lists, you may want to implement your own algebraic classes. (’algebraic class’ means any class directly or indirectly derived from basic that can be used in GiNaC expressions).

GiNaC offers two ways of accomplishing this: either by using the structure<T> template class, or by rolling your own class from scratch. This section will discuss the structure<T> template which is easier to use but more limited, while the implementation of custom GiNaC classes is the topic of the next section. However, you may want to read both sections because many common concepts and member functions are shared by both concepts, and it will also allow you to decide which approach is most suited to your needs.

The structure<T> template, defined in the GiNaC header file structure.h, wraps a type that you supply (usually a C++ struct or class) into a GiNaC object that can be used in expressions.

6.4.1 Example: scalar products

Let’s suppose that we need a way to handle some kind of abstract scalar product of the form ‘<x|y>’ in expressions. Objects of the scalar product class have to store their left and right operands, which can in turn be arbitrary expressions. Here is a possible way to represent such a product in a C++ struct:

#include <iostream>
#include <ginac/ginac.h>
using namespace std;
using namespace GiNaC;

struct sprod_s {
    ex left, right;

    sprod_s() {}
    sprod_s(ex l, ex r) : left(l), right(r) {}
};

The default constructor is required. Now, to make a GiNaC class out of this data structure, we need only one line:

typedef structure<sprod_s> sprod;

That’s it. This line constructs an algebraic class sprod which contains objects of type sprod_s. We can now use sprod in expressions like any other GiNaC class:

...
    symbol a("a"), b("b");
    ex e = sprod(sprod_s(a, b));
...

Note the difference between sprod which is the algebraic class, and sprod_s which is the unadorned C++ structure containing the left and right data members. As shown above, an sprod can be constructed from an sprod_s object.

If you find the nested sprod(sprod_s()) constructor too unwieldy, you could define a little wrapper function like this:

inline ex make_sprod(ex left, ex right)
{
    return sprod(sprod_s(left, right));
}

The sprod_s object contained in sprod can be accessed with the GiNaC ex_to<>() function followed by the -> operator or get_struct():

...
    cout << ex_to<sprod>(e)->left << endl;
     // -> a
    cout << ex_to<sprod>(e).get_struct().right << endl;
     // -> b
...

You only have read access to the members of sprod_s.

The type definition of sprod is enough to write your own algorithms that deal with scalar products, for example:

ex swap_sprod(ex p)
{
    if (is_a<sprod>(p)) {
        const sprod_s & sp = ex_to<sprod>(p).get_struct();
        return make_sprod(sp.right, sp.left);
    } else
        return p;
}

...
    f = swap_sprod(e);
     // f is now <b|a>
...

6.4.2 Structure output

While the sprod type is useable it still leaves something to be desired, most notably proper output:

...
    cout << e << endl;
     // -> [structure object]
...

By default, any structure types you define will be printed as ‘[structure object]’. To override this you can either specialize the template’s print() member function, or specify print methods with set_print_func<>(), as described in GiNaC’s expression output system. Unfortunately, it’s not possible to supply class options like print_func<>() to structures, so for a self-contained structure type you need to resort to overriding the print() function, which is also what we will do here.

The member functions of GiNaC classes are described in more detail in the next section, but it shouldn’t be hard to figure out what’s going on here:

void sprod::print(const print_context & c, unsigned level) const
{
    // tree debug output handled by superclass
    if (is_a<print_tree>(c))
        inherited::print(c, level);

    // get the contained sprod_s object
    const sprod_s & sp = get_struct();

    // print_context::s is a reference to an ostream
    c.s << "<" << sp.left << "|" << sp.right << ">";
}

Now we can print expressions containing scalar products:

...
    cout << e << endl;
     // -> <a|b>
    cout << swap_sprod(e) << endl;
     // -> <b|a>
...

6.4.3 Comparing structures

The sprod class defined so far still has one important drawback: all scalar products are treated as being equal because GiNaC doesn’t know how to compare objects of type sprod_s. This can lead to some confusing and undesired behavior:

...
    cout << make_sprod(a, b) - make_sprod(a*a, b*b) << endl;
     // -> 0
    cout << make_sprod(a, b) + make_sprod(a*a, b*b) << endl;
     // -> 2*<a|b> or 2*<a^2|b^2> (which one is undefined)
...

To remedy this, we first need to define the operators == and < for objects of type sprod_s:

inline bool operator==(const sprod_s & lhs, const sprod_s & rhs)
{
    return lhs.left.is_equal(rhs.left) && lhs.right.is_equal(rhs.right);
}

inline bool operator<(const sprod_s & lhs, const sprod_s & rhs)
{
    return lhs.left.compare(rhs.left) < 0
           ? true : lhs.right.compare(rhs.right) < 0;
}

The ordering established by the < operator doesn’t have to make any algebraic sense, but it needs to be well defined. Note that we can’t use expressions like lhs.left == rhs.left or lhs.left < rhs.left in the implementation of these operators because they would construct GiNaC relational objects which in the case of < do not establish a well defined ordering (for arbitrary expressions, GiNaC can’t decide which one is algebraically ’less’).

Next, we need to change our definition of the sprod type to let GiNaC know that an ordering relation exists for the embedded objects:

typedef structure<sprod_s, compare_std_less> sprod;

sprod objects then behave as expected:

...
    cout << make_sprod(a, b) - make_sprod(a*a, b*b) << endl;
     // -> <a|b>-<a^2|b^2>
    cout << make_sprod(a, b) + make_sprod(a*a, b*b) << endl;
     // -> <a|b>+<a^2|b^2>
    cout << make_sprod(a, b) - make_sprod(a, b) << endl;
     // -> 0
    cout << make_sprod(a, b) + make_sprod(a, b) << endl;
     // -> 2*<a|b>
...

The compare_std_less policy parameter tells GiNaC to use the std::less and std::equal_to functors to compare objects of type sprod_s. By default, these functors forward their work to the standard < and == operators, which we have overloaded. Alternatively, we could have specialized std::less and std::equal_to for class sprod_s.

GiNaC provides two other comparison policies for structure<T> objects: the default compare_all_equal, and compare_bitwise which does a bit-wise comparison of the contained T objects. This should be used with extreme care because it only works reliably with built-in integral types, and it also compares any padding (filler bytes of undefined value) that the T class might have.

6.4.4 Subexpressions

Our scalar product class has two subexpressions: the left and right operands. It might be a good idea to make them accessible via the standard nops() and op() methods:

size_t sprod::nops() const
{
    return 2;
}

ex sprod::op(size_t i) const
{
    switch (i) {
    case 0:
        return get_struct().left;
    case 1:
        return get_struct().right;
    default:
        throw std::range_error("sprod::op(): no such operand");
    }
}

Implementing nops() and op() for container types such as sprod has two other nice side effects:

  • has() works as expected
  • GiNaC generates better hash keys for the objects (the default implementation of calchash() takes subexpressions into account)

There is a non-const variant of op() called let_op() that allows replacing subexpressions:

ex & sprod::let_op(size_t i)
{
    // every non-const member function must call this
    ensure_if_modifiable();

    switch (i) {
    case 0:
        return get_struct().left;
    case 1:
        return get_struct().right;
    default:
        throw std::range_error("sprod::let_op(): no such operand");
    }
}

Once we have provided let_op() we also get subs() and map() for free. In fact, every container class that returns a non-null nops() value must either implement let_op() or provide custom implementations of subs() and map().

In turn, the availability of map() enables the recursive behavior of a couple of other default method implementations, in particular evalf(), evalm(), normal(), diff() and expand(). Although we probably want to provide our own version of expand() for scalar products that turns expressions like ‘<a+b|c>’ into ‘<a|c>+<b|c>’. This is left as an exercise for the reader.

The structure<T> template defines many more member functions that you can override by specialization to customize the behavior of your structures. You are referred to the next section for a description of some of these (especially eval()). There is, however, one topic that shall be addressed here, as it demonstrates one peculiarity of the structure<T> template: archiving.

6.4.5 Archiving structures

If you don’t know how the archiving of GiNaC objects is implemented, you should first read the next section and then come back here. You’re back? Good.

To implement archiving for structures it is not enough to provide specializations for the archive() member function and the unarchiving constructor (the unarchive() function has a default implementation). You also need to provide a unique name (as a string literal) for each structure type you define. This is because in GiNaC archives, the class of an object is stored as a string, the class name.

By default, this class name (as returned by the class_name() member function) is ‘structure’ for all structure classes. This works as long as you have only defined one structure type, but if you use two or more you need to provide a different name for each by specializing the get_class_name() member function. Here is a sample implementation for enabling archiving of the scalar product type defined above:

const char *sprod::get_class_name() { return "sprod"; }

void sprod::archive(archive_node & n) const
{
    inherited::archive(n);
    n.add_ex("left", get_struct().left);
    n.add_ex("right", get_struct().right);
}

sprod::structure(const archive_node & n, lst & sym_lst) : inherited(n, sym_lst)
{
    n.find_ex("left", get_struct().left, sym_lst);
    n.find_ex("right", get_struct().right, sym_lst);
}

Note that the unarchiving constructor is sprod::structure and not sprod::sprod, and that we don’t need to supply an sprod::unarchive() function.


6.5 Adding classes

The structure<T> template provides an way to extend GiNaC with custom algebraic classes that is easy to use but has its limitations, the most severe of which being that you can’t add any new member functions to structures. To be able to do this, you need to write a new class definition from scratch.

This section will explain how to implement new algebraic classes in GiNaC by giving the example of a simple ’string’ class. After reading this section you will know how to properly declare a GiNaC class and what the minimum required member functions are that you have to implement. We only cover the implementation of a ’leaf’ class here (i.e. one that doesn’t contain subexpressions). Creating a container class like, for example, a class representing tensor products is more involved but this section should give you enough information so you can consult the source to GiNaC’s predefined classes if you want to implement something more complicated.

6.5.1 Hierarchy of algebraic classes.

All algebraic classes (that is, all classes that can appear in expressions) in GiNaC are direct or indirect subclasses of the class basic. So a basic * represents a generic pointer to an algebraic class. Working with such pointers directly is cumbersome (think of memory management), hence GiNaC wraps them into ex (see Expressions are reference counted). To make such wrapping possible every algebraic class has to implement several methods. Visitors (see Visitors and tree traversal), printing, and (un)archiving (see Input and output of expressions) require helper methods too. But don’t worry, most of the work is simplified by the following macros (defined in registrar.h):

  • GINAC_DECLARE_REGISTERED_CLASS
  • GINAC_IMPLEMENT_REGISTERED_CLASS
  • GINAC_IMPLEMENT_REGISTERED_CLASS_OPT

The GINAC_DECLARE_REGISTERED_CLASS macro inserts declarations required for memory management, visitors, printing, and (un)archiving. It takes the name of the class and its direct superclass as arguments. The GINAC_DECLARE_REGISTERED_CLASS should be the first line after the opening brace of the class definition.

GINAC_IMPLEMENT_REGISTERED_CLASS takes the same arguments as GINAC_DECLARE_REGISTERED_CLASS. It initializes certain static members of a class so that printing and (un)archiving works. The GINAC_IMPLEMENT_REGISTERED_CLASS may appear anywhere else in the source (at global scope, of course, not inside a function).

GINAC_IMPLEMENT_REGISTERED_CLASS_OPT is a variant of GINAC_IMPLEMENT_REGISTERED_CLASS. It allows specifying additional options, such as custom printing functions.

6.5.2 A minimalistic example

Now we will start implementing a new class mystring that allows placing character strings in algebraic expressions (this is not very useful, but it’s just an example). This class will be a direct subclass of basic. You can use this sample implementation as a starting point for your own classes 3.

The code snippets given here assume that you have included some header files as follows:

#include <iostream>
#include <string>   
#include <stdexcept>
#include <ginac/ginac.h>
using namespace std;
using namespace GiNaC;

Now we can write down the class declaration. The class stores a C++ string and the user shall be able to construct a mystring object from a string:

class mystring : public basic
{
    GINAC_DECLARE_REGISTERED_CLASS(mystring, basic)
  
public:
    mystring(const string & s);

private:
    string str;
};

GINAC_IMPLEMENT_REGISTERED_CLASS(mystring, basic)

The GINAC_DECLARE_REGISTERED_CLASS macro insert declarations required for memory management, visitors, printing, and (un)archiving. GINAC_IMPLEMENT_REGISTERED_CLASS initializes certain static members of a class so that printing and (un)archiving works.

Now there are three member functions we have to implement to get a working class:

  • mystring(), the default constructor.
  • int compare_same_type(const basic & other), which is used internally by GiNaC to establish a canonical sort order for terms. It returns 0, +1 or -1, depending on the relative order of this object and the other object. If it returns 0, the objects are considered equal. Please notice: This has nothing to do with the (numeric) ordering relationship expressed by <, >= etc (which cannot be defined for non-numeric classes). For example, numeric(1).compare_same_type(numeric(2)) may return +1 even though 1 is clearly smaller than 2. Every GiNaC class must provide a compare_same_type() function, even those representing objects for which no reasonable algebraic ordering relationship can be defined.
  • And, of course, mystring(const string& s) which is the constructor we declared.

Let’s proceed step-by-step. The default constructor looks like this:

mystring::mystring() { }

In the default constructor you should set all other member variables to reasonable default values (we don’t need that here since our str member gets set to an empty string automatically).

Our compare_same_type() function uses a provided function to compare the string members:

int mystring::compare_same_type(const basic & other) const
{
    const mystring &o = static_cast<const mystring &>(other);
    int cmpval = str.compare(o.str);
    if (cmpval == 0)
        return 0;
    else if (cmpval < 0)
        return -1;
    else
        return 1;
}

Although this function takes a basic &, it will always be a reference to an object of exactly the same class (objects of different classes are not comparable), so the cast is safe. If this function returns 0, the two objects are considered equal (in the sense that A-B=0), so you should compare all relevant member variables.

Now the only thing missing is our constructor:

mystring::mystring(const string& s) : str(s) { }

No surprises here. We set the str member from the argument.

That’s it! We now have a minimal working GiNaC class that can store strings in algebraic expressions. Let’s confirm that the RTTI works:

ex e = mystring("Hello, world!");
cout << is_a<mystring>(e) << endl;
 // -> 1 (true)

cout << ex_to<basic>(e).class_name() << endl;
 // -> mystring

Obviously it does. Let’s see what the expression e looks like:

cout << e << endl;
 // -> [mystring object]

Hm, not exactly what we expect, but of course the mystring class doesn’t yet know how to print itself. This can be done either by implementing the print() member function, or, preferably, by specifying a print_func<>() class option. Let’s say that we want to print the string surrounded by double quotes:

class mystring : public basic
{
    ...
protected:
    void do_print(const print_context & c, unsigned level = 0) const;
    ...
};

void mystring::do_print(const print_context & c, unsigned level) const
{
    // print_context::s is a reference to an ostream
    c.s << '\"' << str << '\"';
}

The level argument is only required for container classes to correctly parenthesize the output.

Now we need to tell GiNaC that mystring objects should use the do_print() member function for printing themselves. For this, we replace the line

GINAC_IMPLEMENT_REGISTERED_CLASS(mystring, basic)

with

GINAC_IMPLEMENT_REGISTERED_CLASS_OPT(mystring, basic,
  print_func<print_context>(&mystring::do_print))

Let’s try again to print the expression:

cout << e << endl;
 // -> "Hello, world!"

Much better. If we wanted to have mystring objects displayed in a different way depending on the output format (default, LaTeX, etc.), we would have supplied multiple print_func<>() options with different template parameters (print_dflt, print_latex, etc.), separated by dots. This is similar to the way options are specified for symbolic functions. See GiNaC’s expression output system, for a more in-depth description of the way expression output is implemented in GiNaC.

The mystring class can be used in arbitrary expressions:

e += mystring("GiNaC rulez"); 
cout << e << endl;
 // -> "GiNaC rulez"+"Hello, world!"

(GiNaC’s automatic term reordering is in effect here), or even

e = pow(mystring("One string"), 2*sin(Pi-mystring("Another string")));
cout << e << endl;
 // -> "One string"^(2*sin(-"Another string"+Pi))

Whether this makes sense is debatable but remember that this is only an example. At least it allows you to implement your own symbolic algorithms for your objects.

Note that GiNaC’s algebraic rules remain unchanged:

e = mystring("Wow") * mystring("Wow");
cout << e << endl;
 // -> "Wow"^2

e = pow(mystring("First")-mystring("Second"), 2);
cout << e.expand() << endl;
 // -> -2*"First"*"Second"+"First"^2+"Second"^2

There’s no way to, for example, make GiNaC’s add class perform string concatenation. You would have to implement this yourself.

6.5.3 Automatic evaluation

When dealing with objects that are just a little more complicated than the simple string objects we have implemented, chances are that you will want to have some automatic simplifications or canonicalizations performed on them. This is done in the evaluation member function eval(). Let’s say that we wanted all strings automatically converted to lowercase with non-alphabetic characters stripped, and empty strings removed:

class mystring : public basic
{
    ...
public:
    ex eval() const override;
    ...
};

ex mystring::eval() const
{
    string new_str;
    for (size_t i=0; i<str.length(); i++) {
        char c = str[i];
        if (c >= 'A' && c <= 'Z') 
            new_str += tolower(c);
        else if (c >= 'a' && c <= 'z')
            new_str += c;
    }

    if (new_str.length() == 0)
        return 0;

    return mystring(new_str).hold();
}

The hold() member function sets a flag in the object that prevents further evaluation. Otherwise we might end up in an endless loop. When you want to return the object unmodified, use return this->hold();.

If our class had subobjects, we would have to evaluate them first (unless they are all of type ex, which are automatically evaluated). We don’t have any subexpressions in the mystring class, so we are not concerned with this.

Let’s confirm that it works:

ex e = mystring("Hello, world!") + mystring("!?#");
cout << e << endl;
 // -> "helloworld"

e = mystring("Wow!") + mystring("WOW") + mystring(" W ** o ** W");  
cout << e << endl;
 // -> 3*"wow"

6.5.4 Optional member functions

We have implemented only a small set of member functions to make the class work in the GiNaC framework. There are two functions that are not strictly required but will make operations with objects of the class more efficient:

unsigned calchash() const override;
bool is_equal_same_type(const basic & other) const override;

The calchash() method returns an unsigned hash value for the object which will allow GiNaC to compare and canonicalize expressions much more efficiently. You should consult the implementation of some of the built-in GiNaC classes for examples of hash functions. The default implementation of calchash() calculates a hash value out of the tinfo_key of the class and all subexpressions that are accessible via op().

is_equal_same_type() works like compare_same_type() but only tests for equality without establishing an ordering relation, which is often faster. The default implementation of is_equal_same_type() just calls compare_same_type() and tests its result for zero.

6.5.5 Other member functions

For a real algebraic class, there are probably some more functions that you might want to provide:

bool info(unsigned inf) const override;
ex evalf() const override;
ex series(const relational & r, int order, unsigned options = 0) const override;
ex derivative(const symbol & s) const override;

If your class stores sub-expressions (see the scalar product example in the previous section) you will probably want to override

size_t nops() const override;
ex op(size_t i) const override;
ex & let_op(size_t i) override;
ex subs(const lst & ls, const lst & lr, unsigned options = 0) const override;
ex map(map_function & f) const override;

let_op() is a variant of op() that allows write access. The default implementations of subs() and map() use it, so you have to implement either let_op(), or subs() and map().

You can, of course, also add your own new member functions. Remember that the RTTI may be used to get information about what kinds of objects you are dealing with (the position in the class hierarchy) and that you can always extract the bare object from an ex by stripping the ex off using the ex_to<mystring>(e) function when that should become a need.

That’s it. May the source be with you!

6.5.6 Upgrading extension classes from older version of GiNaC

GiNaC used to use a custom run time type information system (RTTI). It was removed from GiNaC. Thus, one needs to rewrite constructors which set tinfo_key (which does not exist any more). For example,

myclass::myclass() : inherited(&myclass::tinfo_static) {}

needs to be rewritten as

myclass::myclass() {}

7 A Comparison With Other CAS

This chapter will give you some information on how GiNaC compares to other, traditional Computer Algebra Systems, like Maple, Mathematica or Reduce, where it has advantages and disadvantages over these systems.


7.1 Advantages

GiNaC has several advantages over traditional Computer Algebra Systems, like

  • familiar language: all common CAS implement their own proprietary grammar which you have to learn first (and maybe learn again when your vendor decides to ‘enhance’ it). With GiNaC you can write your program in common C++, which is standardized.
  • structured data types: you can build up structured data types using structs or classes together with STL features instead of using unnamed lists of lists of lists.
  • strongly typed: in CAS, you usually have only one kind of variables which can hold contents of an arbitrary type. This 4GL like feature is nice for novice programmers, but dangerous.
  • development tools: powerful development tools exist for C++, like fancy editors (e.g. with automatic indentation and syntax highlighting), debuggers, visualization tools, documentation generators…
  • modularization: C++ programs can easily be split into modules by separating interface and implementation.
  • price: GiNaC is distributed under the GNU Public License which means that it is free and available with source code. And there are excellent C++-compilers for free, too.
  • extendable: you can add your own classes to GiNaC, thus extending it on a very low level. Compare this to a traditional CAS that you can usually only extend on a high level by writing in the language defined by the parser. In particular, it turns out to be almost impossible to fix bugs in a traditional system.
  • multiple interfaces: Though real GiNaC programs have to be written in some editor, then be compiled, linked and executed, there are more ways to work with the GiNaC engine. Many people want to play with expressions interactively, as in traditional CASs: The tiny ginsh that comes with the distribution exposes many, but not all, of GiNaC’s types to a command line.
  • seamless integration: it is somewhere between difficult and impossible to call CAS functions from within a program written in C++ or any other programming language and vice versa. With GiNaC, your symbolic routines are part of your program. You can easily call third party libraries, e.g. for numerical evaluation or graphical interaction. All other approaches are much more cumbersome: they range from simply ignoring the problem (i.e. Maple) to providing a method for ‘embedding’ the system (i.e. Yacas).
  • efficiency: often large parts of a program do not need symbolic calculations at all. Why use large integers for loop variables or arbitrary precision arithmetics where int and double are sufficient? For pure symbolic applications, GiNaC is comparable in speed with other CAS.

7.2 Disadvantages

GiNaC cannot compete with a program like Reduce or Maple which exists for more than 50 years now with respect to some mathematical features. Integration, non-trivial simplifications, limits etc. are missing in GiNaC (and are not planned for the near future).


7.3 Why C++?

Why did we choose to implement GiNaC in C++ instead of Java or any other language? C++ is not perfect: type checking is not strict (casting is possible), separation between interface and implementation is not complete, object oriented design is not enforced. The main reason is the often scolded feature of operator overloading in C++. While it may be true that operating on classes with a + operator is rarely meaningful, it is perfectly suited for algebraic expressions. Writing 3x+5y as 3*x+5*y instead of x.times(3).plus(y.times(5)) looks much more natural. Furthermore, the main developers are more familiar with C++ than with any other programming language.


Appendix A Internal structures


A.1 Expressions are reference counted

In GiNaC, there is an intrusive reference-counting mechanism at work where the counter belongs to the algebraic objects derived from class basic but is maintained by the smart pointer class ptr, of which ex contains an instance. If you understood that, you can safely skip the rest of this passage.

Expressions are extremely light-weight since internally they work like handles to the actual representation. They really hold nothing more than a pointer to some other object. What this means in practice is that whenever you create two ex and set the second equal to the first no copying process is involved. Instead, the copying takes place as soon as you try to change the second. Consider the simple sequence of code:

#include <iostream>
#include <ginac/ginac.h>
using namespace std;
using namespace GiNaC;

int main()
{
    symbol x("x"), y("y"), z("z");
    ex e1, e2;

    e1 = sin(x + 2*y) + 3*z + 41;
    e2 = e1;                // e2 points to same object as e1
    cout << e2 << endl;     // prints sin(x+2*y)+3*z+41
    e2 += 1;                // e2 is copied into a new object
    cout << e2 << endl;     // prints sin(x+2*y)+3*z+42
}

The line e2 = e1; creates a second expression pointing to the object held already by e1. The time involved for this operation is therefore constant, no matter how large e1 was. Actual copying, however, must take place in the line e2 += 1; because e1 and e2 are not handles for the same object any more. This concept is called copy-on-write semantics. It increases performance considerably whenever one object occurs multiple times and represents a simple garbage collection scheme because when an ex runs out of scope its destructor checks whether other expressions handle the object it points to too and deletes the object from memory if that turns out not to be the case. A slightly less trivial example of differentiation using the chain-rule should make clear how powerful this can be:

{
    symbol x("x"), y("y");

    ex e1 = x + 3*y;
    ex e2 = pow(e1, 3);
    ex e3 = diff(sin(e2), x);   // first derivative of sin(e2) by x
    cout << e1 << endl          // prints x+3*y
         << e2 << endl          // prints (x+3*y)^3
         << e3 << endl;         // prints 3*(x+3*y)^2*cos((x+3*y)^3)
}

Here, e1 will actually be referenced three times while e2 will be referenced two times. When the power of an expression is built, that expression needs not be copied. Likewise, since the derivative of a power of an expression can be easily expressed in terms of that expression, no copying of e1 is involved when e3 is constructed. So, when e3 is constructed it will print as 3*(x+3*y)^2*cos((x+3*y)^3) but the argument of cos() only holds a reference to e2 and the factor in front is just 3*e1^2.

As a user of GiNaC, you cannot see this mechanism of copy-on-write semantics. When you insert an expression into a second expression, the result behaves exactly as if the contents of the first expression were inserted. But it may be useful to remember that this is not what happens. Knowing this will enable you to write much more efficient code. If you still have an uncertain feeling with copy-on-write semantics, we recommend you have a look at the C++-FAQ’s chapter on memory management. It covers this issue and presents an implementation which is pretty close to the one in GiNaC.


A.2 Internal representation of products and sums

Although it should be completely transparent for the user of GiNaC a short discussion of this topic helps to understand the sources and also explain performance to a large degree. Consider the unexpanded symbolic expression 2*d^3*(4*a+5*b-3) which could naively be represented by a tree of linear containers for addition and multiplication, one container for exponentiation with base and exponent and some atomic leaves of symbols and numbers in this fashion:

repnaive

However, doing so results in a rather deeply nested tree which will quickly become inefficient to manipulate. We can improve on this by representing the sum as a sequence of terms, each one being a pair of a purely numeric multiplicative coefficient and its rest. In the same spirit we can store the multiplication as a sequence of terms, each having a numeric exponent and a possibly complicated base, the tree becomes much more flat:

reppair

The number 3 above the symbol d shows that mul objects are treated similarly where the coefficients are interpreted as exponents now. Addition of sums of terms or multiplication of products with numerical exponents can be coded to be very efficient with such a pair-wise representation. Internally, this handling is performed by most CAS in this way. It typically speeds up manipulations by an order of magnitude. The overall multiplicative factor 2 and the additive term -3 look somewhat out of place in this representation, however, since they are still carrying a trivial exponent and multiplicative factor 1 respectively. Within GiNaC, this is avoided by adding a field that carries an overall numeric coefficient. This results in the realistic picture of internal representation for 2*d^3*(4*a+5*b-3):

repreal

This also allows for a better handling of numeric radicals, since sqrt(2) can now be carried along calculations. Now it should be clear, why both classes add and mul are derived from the same abstract class: the data representation is the same, only the semantics differs. In the class hierarchy, methods for polynomial expansion and the like are reimplemented for add and mul, but the data structure is inherited from expairseq.


Appendix B Package tools

If you are creating a software package that uses the GiNaC library, setting the correct command line options for the compiler and linker can be difficult. The pkgconf utility makes this process easier. GiNaC supplies all necessary data in ginac.pc (installed into LIBDIR/pkgconfig by default). To compile a simple program use 4

g++ -o simple simple.cpp `pkgconf --cflags --libs ginac`

This command line might expand to (for example):

g++ -o simple simple.cpp -lginac -lcln

Not only is the form using pkgconf easier to type, it will work on any system, no matter how GiNaC was configured.

For packages configured using GNU automake, pkgconf also provides the PKG_CHECK_MODULES macro to automate the process of checking for libraries

PKG_CHECK_MODULES(MYAPP, ginac >= MINIMUM_VERSION,
                  [ACTION-IF-FOUND],
                  [ACTION-IF-NOT-FOUND])

This macro:


B.1 Configuring a package that uses GiNaC

The directory where the GiNaC libraries are installed needs to be found by your system’s dynamic linkers (both compile- and run-time ones). See the documentation of your system linker for details. Also make sure that ginac.pc is in pkgconf’s search path, See pkgconf.

The short summary below describes how to do this on a GNU/Linux system.

Suppose GiNaC is installed into the directory PREFIX. To tell the linkers where to find the library one should

  • edit /etc/ld.so.conf and run ldconfig. For example,
    # echo PREFIX/lib >> /etc/ld.so.conf
    # ldconfig
    
  • or set the environment variables LD_LIBRARY_PATH and LD_RUN_PATH
    $ export LD_LIBRARY_PATH=PREFIX/lib
    $ export LD_RUN_PATH=PREFIX/lib
    
  • or give a ‘-L’ and ‘--rpath’ flags when running configure, for instance:
    $ LDFLAGS='-Wl,-LPREFIX/lib -Wl,--rpath=PREFIX/lib' ./configure
    

To tell pkgconf where the ginac.pc file is, set the PKG_CONFIG_PATH environment variable:

$ export PKG_CONFIG_PATH=PREFIX/lib/pkgconfig

Finally, run the configure script

$ ./configure 

B.2 Example of a package using GiNaC

The following shows how to build a simple package using automake and the ‘PKG_CHECK_MODULES’ macro. The program used here is simple.cpp:

#include <iostream>
#include <ginac/ginac.h>

int main()
{
    GiNaC::symbol x("x");
    GiNaC::ex a = GiNaC::sin(x);
    std::cout << "Derivative of " << a 
              << " is " << a.diff(x) << std::endl;
    return 0;
}

You should first read the introductory portions of the automake manual, if you are not already familiar with it.

Two files are needed, configure.ac, which is used to build the configure script:

dnl Process this file with autoreconf to produce a configure script.
AC_INIT([simple], [1.0.0], [simple@example.net])
AC_CONFIG_SRCDIR(simple.cpp)
AM_INIT_AUTOMAKE

AC_PROG_CXX
AC_PROG_INSTALL
AC_LANG([C++])

PKG_CHECK_MODULES(SIMPLE, ginac >= 1.8.0)

AC_CONFIG_FILES([Makefile])
AC_OUTPUT

The ‘PKG_CHECK_MODULES’ macro does the following: If a GiNaC version greater or equal than 1.8.0 is found, then it defines SIMPLE_CFLAGS and SIMPLE_LIBS. Otherwise, it dies with the error message like

configure: error: Package requirements (ginac >= 1.8.0) were not met:

Package dependency requirement 'ginac >= 1.8.0' could not be satisfied.
Package 'ginac' has version '1.7.7', required version is '>= 1.8.0'

Consider adjusting the PKG_CONFIG_PATH environment variable if you
installed software in a non-standard prefix.

Alternatively, you may set the environment variables SIMPLE_CFLAGS
and SIMPLE_LIBS to avoid the need to call pkg-config.
See the pkg-config man page for more details.

And the Makefile.am, which will be used to build the Makefile.

## Process this file with automake to produce Makefile.in
bin_PROGRAMS = simple
simple_SOURCES = simple.cpp
simple_CPPFLAGS = $(SIMPLE_CFLAGS)
simple_LDADD = $(SIMPLE_LIBS)

This Makefile.am, says that we are building a single executable, from a single source file simple.cpp. Since every program we are building uses GiNaC we could have simply added SIMPLE_CFLAGS to CPPFLAGS and SIMPLE_LIBS to LIBS. However, it is more flexible to specify libraries and complier options on a per-program basis.

To try this example out, create a new directory and add the three files above to it.

Now execute the following command:

$ autoreconf -i

You now have a package that can be built in the normal fashion

$ ./configure
$ make
$ make install

Appendix C Bibliography


Concept index

Jump to:   A   B   C   D   E   F   G   H   I   K   L   M   N   O   P   Q   R   S   T   U   V   W   Z  
Index EntrySection

A
abs()Built-in functions
accept()Visitors and tree traversal
accuracyNumbers
acos()Built-in functions
acosh()Built-in functions
addFundamental containers
addInternal representation of products and sums
advocacyA comparison with other CAS
alternating Euler sumMultiple polylogarithms
antisymmetrize()Symmetrization
append()Lists
archive (class)Input/output
archivingInput/output
asin()Built-in functions
asinh()Built-in functions
atan()Built-in functions
atanh()Built-in functions
atomThe class hierarchy
atomSymbols
AutoconfConfiguration

B
basic_log_kernel()Iterated integrals
bernoulli()Numbers
beta()Built-in functions
binomial()Built-in functions
branch cutBuilt-in functions
building GiNaCBuilding GiNaC

C
calchash()Adding classes
canonicalize_clifford()Non-commutative objects
CatalanConstants
chain ruleSymbolic differentiation
charpoly()Matrices
clifford (class)Non-commutative objects
clifford_bar()Non-commutative objects
clifford_inverse()Non-commutative objects
clifford_max_label()Non-commutative objects
clifford_moebius_map()Non-commutative objects
clifford_norm()Non-commutative objects
clifford_prime()Non-commutative objects
clifford_star()Non-commutative objects
clifford_to_lst()Non-commutative objects
clifford_unit()Non-commutative objects
CLNInstallation
CLNNumbers
coeff()Polynomial arithmetic
collect_common_factors()Polynomial arithmetic
collect()Polynomial arithmetic
color (class)Non-commutative objects
color_d()Non-commutative objects
color_f()Non-commutative objects
color_h()Non-commutative objects
color_ONE()Non-commutative objects
color_T()Non-commutative objects
color_trace()Non-commutative objects
compare_same_type()Adding classes
compare()Information about expressions
compile_exInput/output
compiling expressionsInput/output
complex numbersNumbers
configurationConfiguration
conjugate()Built-in functions
conjugate()Complex expressions
const_iteratorInformation about expressions
const_postorder_iteratorInformation about expressions
const_preorder_iteratorInformation about expressions
constant (class)Constants
containerThe class hierarchy
containerInformation about expressions
content()Polynomial arithmetic
contravariantIndexed objects
Converting ex to other classesInformation about expressions
copy-on-writeExpressions are reference counted
cos()Built-in functions
cosh()Built-in functions
covariantIndexed objects
csrcInput/output
csrc_cl_NInput/output
csrc_doubleInput/output
csrc_floatInput/output
CUBA libraryInput/output

D
DECLARE_FUNCTIONSymbolic functions
degree()Polynomial arithmetic
delta_tensor()Indexed objects
denom()Rational expressions
denominatorRational expressions
determinant()Matrices
dfltInput/output
diag_matrix()Matrices
diff()Symbolic differentiation
differentiationSymbolic differentiation
DigitsNumbers
DigitsNumerical evaluation
dirac_gamma()Non-commutative objects
dirac_gamma5()Non-commutative objects
dirac_gammaL()Non-commutative objects
dirac_gammaR()Non-commutative objects
dirac_ONE()Non-commutative objects
dirac_slash()Non-commutative objects
dirac_trace()Non-commutative objects
divide()Polynomial arithmetic
doublefactorial()Numbers
dummy indexIndexed objects

E
Ebar_kernel()Iterated integrals
Eisenstein_h_kernel()Iterated integrals
Eisenstein_kernel()Iterated integrals
ELi_kernel()Iterated integrals
EllipticE()Built-in functions
EllipticK()Built-in functions
epsilon_tensor()Indexed objects
eta()Built-in functions
EulerConstants
Euler numbersSymbolic differentiation
eval()Automatic evaluation
eval()Adding classes
evalf()Constants
evalf()Numerical evaluation
evalm()Matrices
evaluationAutomatic evaluation
evaluationSymbolic functions
evaluationAdding classes
ex_is_equal (class)Information about expressions
ex_is_less (class)Information about expressions
ex_to<…>()Information about expressions
exceptionsError handling
exp()Built-in functions
expand trancedent functionsBuilt-in functions
expand_dummy_sum()Indexed objects
expand_options::expand_function_argsBuilt-in functions
expand_options::expand_transcendentalBuilt-in functions
expand()Indexed objects
expand()Polynomial arithmetic
expression (class ex)Expressions

F
factor()Polynomial arithmetic
factorial()Built-in functions
factorizationPolynomial arithmetic
factorizationPolynomial arithmetic
fibonacci()Numbers
find()Pattern matching and advanced substitutions
fractionNumbers
fsolveWhat it can do for you
FUNCP_1PInput/output
FUNCP_2PInput/output
FUNCP_CUBAInput/output
function (class)Mathematical functions

G
G()Built-in functions
G()Built-in functions
Gamma functionMathematical functions
gamma functionBuilt-in functions
garbage collectionExpressions are reference counted
GCDPolynomial arithmetic
gcd()Polynomial arithmetic
get_dim()Indexed objects
get_free_indices()Indexed objects
get_metric()Non-commutative objects
get_name()Symbols
get_TeX_name()Symbols
get_value()Indexed objects
ginac-excompilerInput/output
ginshWhat it can do for you
ginshFundamental containers
ginshWhat does not belong into GiNaC
GMPNumbers
Gt()Built-in functions

H
H()Built-in functions
harmonic polylogarithmMultiple polylogarithms
has()Expressions
has()Pattern matching and advanced substitutions
Hermite polynomialHow to use it from within C++
hierarchy of classesSymbols
hierarchy of classesAdding classes
history of GiNaCIntroduction
hold()Symbolic functions
hold()Adding classes
hyperbolic functionMathematical functions

I
INumbers
I/OInput/output
idx (class)Indexed objects
imag_part()Built-in functions
imag()Numbers
index_dimensionsInput/output
indexed (class)Indexed objects
info()Information about expressions
input of expressionsInput/output
installationInstalling GiNaC
integral (class)Integrals
integration_kernel()Iterated integrals
inverse() (matrix)Matrices
inverse() (numeric)Numbers
iquo()Numbers
irem()Numbers
is_a<…>()Information about expressions
is_equal_same_type()Adding classes
is_equal()Information about expressions
is_exactly_a<…>()Information about expressions
is_polynomial()Polynomial arithmetic
is_zero_matrix()Matrices
is_zero()Information about expressions
isqrt()Numbers
iterated_integral()Built-in functions
iterated_integral()Built-in functions
iteratorsInformation about expressions

K
Kronecker_dtau_kernel()Iterated integrals
Kronecker_dz_kernel()Iterated integrals

L
latexInput/output
Laurent expansionSeries expansion
LCMPolynomial arithmetic
lcm()Polynomial arithmetic
ldegree()Polynomial arithmetic
let_op()Structures
let_op()Adding classes
lgamma()Built-in functions
Li()Built-in functions
Li2()Built-in functions
link_exInput/output
listsLists
log()Built-in functions
lorentz_eps()Indexed objects
lorentz_g()Indexed objects
lsolve()Solving linear systems of equations
lst (class)Lists
lst_to_clifford()Non-commutative objects
lst_to_matrix()Matrices

M
Machin’s formulaSeries expansion
map()Applying a function on subexpressions
match()Pattern matching and advanced substitutions
matrix (class)Matrices
metric_tensor()Indexed objects
mod()Numbers
modular_form_kernel()Iterated integrals
Monte Carlo integrationInput/output
mulFundamental containers
mulInternal representation of products and sums
multiple polylogarithmMultiple polylogarithms
multiple zeta valueMultiple polylogarithms
multiple_polylog_kernel()Iterated integrals

N
ncmul (class)Non-commutative objects
Nielsen’s generalized polylogarithmMultiple polylogarithms
no_index_dimensionsInput/output
nops()Lists
nops()Information about expressions
normal()Rational expressions
numer_denom()Rational expressions
numer()Rational expressions
numeratorRational expressions
numeric (class)Numbers

O
op()Lists
op()Information about expressions
Order()Series expansion
Order()Built-in functions
output of expressionsInput/output

P
pair-wise representationInternal representation of products and sums
partial fraction decompositionPolynomial arithmetic
Pattern matchingPattern matching and advanced substitutions
PiConstants
pkgconfPackage tools
pole_error (class)Error handling
polylogarithmMultiple polylogarithms
polynomialFundamental containers
polynomialMethods and functions
polynomial divisionPolynomial arithmetic
polynomial factorizationPolynomial arithmetic
possymbol()Symbols
pow()Fundamental containers
powerFundamental containers
powerInternal representation of products and sums
prem()Polynomial arithmetic
prepend()Lists
primpart()Polynomial arithmetic
print_context (class)Printing
print_csrc (class)Printing
print_dflt (class)Printing
print_latex (class)Printing
print_tree (class)Printing
print()Printing
printingInput/output
product ruleSymbolic differentiation
product ruleSymbolic functions
pseries (class)Series expansion
pseudo-remainderPolynomial arithmetic
pseudo-vectorNon-commutative objects
psi()Built-in functions

Q
quo()Polynomial arithmetic
quotientPolynomial arithmetic

R
radicalInternal representation of products and sums
rank()Matrices
rationalNumbers
real_part()Built-in functions
real()Numbers
realsymbol()Symbols
reduced_matrix()Matrices
reference countingExpressions are reference counted
REGISTER_FUNCTIONSymbolic functions
relational (class)Relations
relational (class)Information about expressions
rem()Polynomial arithmetic
remainderPolynomial arithmetic
remove_all()Lists
remove_dirac_ONE()Non-commutative objects
remove_first()Lists
remove_last()Lists
representationInternal representation of products and sums
resultantPolynomial arithmetic
resultant()Polynomial arithmetic
return_type_tinfo()Non-commutative objects
return_type_tinfo()Information about expressions
return_type()Non-commutative objects
return_type()Information about expressions
roundingNumbers

S
S()Built-in functions
series()Series expansion
simplificationRational expressions
simplify_indexed()Indexed objects
sin()Built-in functions
sinh()Built-in functions
smod()Numbers
solve()Matrices
spinidx (class)Indexed objects
spinor_metric()Indexed objects
sqrfree_parfrac()Polynomial arithmetic
sqrfree()Polynomial arithmetic
sqrt()Built-in functions
square-free decompositionPolynomial arithmetic
square-free partial fraction decompositionPolynomial arithmetic
step()Built-in functions
STLAdvantages
sub_matrix()Matrices
subs()Symbols
subs()Mathematical functions
subs()Indexed objects
subs()Methods and functions
subs()Substituting expressions
subs()Pattern matching and advanced substitutions
sy_anti()Indexed objects
sy_cycl()Indexed objects
sy_none()Indexed objects
sy_symm()Indexed objects
symbol (class)Symbols
symbolic_matrix()Matrices
symmetrize_cyclic()Symmetrization
symmetrize()Symmetrization
symmetry (class)Indexed objects

T
tan()Built-in functions
tanh()Built-in functions
Taylor expansionSeries expansion
temporary replacementRational expressions
tensor (class)Indexed objects
tgamma()Built-in functions
to_cl_N()Numbers
to_double()Numbers
to_int()Numbers
to_long()Numbers
to_polynomial()Rational expressions
to_rational()Rational expressions
trace()Matrices
transpose()Matrices
traverse_postorder()Visitors and tree traversal
traverse_preorder()Visitors and tree traversal
traverse()Visitors and tree traversal
treeInput/output
tree traversalApplying a function on subexpressions
tree traversalVisitors and tree traversal
Tree traversalInput/output
trigonometric functionMathematical functions

U
unit_matrix()Matrices
unit()Polynomial arithmetic
unitcontprim()Polynomial arithmetic
unlink_exInput/output
user_defined_kernel()Iterated integrals

V
varianceIndexed objects
varidx (class)Indexed objects
viewgarInput/output
visit()Visitors and tree traversal
visitor (class)Visitors and tree traversal

W
wildcard (class)Pattern matching and advanced substitutions

Z
Zeta functionWhat it can do for you
zeta()Built-in functions
zeta()Built-in functions


Footnotes

(1)

The configure script is itself generated from the file configure.ac. It is only distributed in packaged releases of GiNaC. If you got the naked sources, e.g. from git, you must generate configure along with the various Makefile.in by using the autoreconf utility. This will require a fair amount of support from your local toolchain, though.

(2)

Uninstallation does not work after you have called make distclean since the Makefile is itself generated by the configuration from Makefile.in and hence deleted by make distclean. There are two obvious ways out of this dilemma. First, you can run the configuration again with the same PREFIX thus creating a Makefile with a working ‘uninstall’ target. Second, you can do it by hand since you now know where all the files went during installation.

(3)

The self-contained source for this example is included in GiNaC, see the doc/examples/mystring.cpp file.

(4)

If GiNaC is installed into some non-standard directory prefix one should set the PKG_CONFIG_PATH environment variable to LIBDIR/pkgconfig for this to work.